Q: A box contains two Maza, one fanta, 4 Appi and 3 pepsi. It two of them are picked one by one at random and that’s are not replaced by another, then what is the probability that both will be Appi? एक बक्से में 2 मा़जा, 1 फेंटा, 4 एप्पी और 3 पेप्सी हैं। यदि उनमें से दो को एक-एक करके बेतरतीब ढंग से उठाया जाता है और उनके स्थान पर दूसरी नहीं रखी जाती, तो इसकी कितनी प्रायिकता है कि दोनों एप्पी ही हों?
A.
B.
C.
D.
Correct Answer:
Option C -
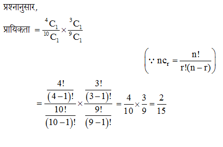
Explanations:
Download Our App
Download our app to know more Lorem ipsum dolor sit amet consectetur adipisicing elit.
Excepturi, esse.
YOU ARE NOT LOGIN
Unlocking possibilities: Login required for a world of personalized
experiences.