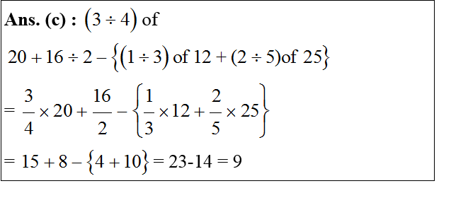
8
A solid cube, whose each edge is of length 48 cm, is melted. Identical solid cubes, each of volume 64 cm, are made out of this molten cube, without any wastage. How many such small cubes are obtained ? एक ठोस घन, जिसके प्रत्येक कोर की लंबाई 48 cm है, को पिघलाया जाता है। इस पिघले हुए घन से बिना किसी अपव्यय के एक समान ठोस घन, जिनमें से प्रत्येक का आयतन 64 cm³ है, बनाए जाते है। ऐसे कितने छोटे घन प्राप्त होंगे ?