सिमिट (CIMMYT) स्थित है–
Nuclear bombs were dropped on Hiroshima and Nagasaki during the……..
Which of the following expenses is NOT considered in calculating the gross profit of a manufacturing concern? एक विनिर्माण प्रतिष्ठान के सकल लाभ की गणना में निम्नलिखित में से किस व्यय पर विचार नहीं किया जाता है?
बॉयलर रिवेट्स का प्रयोग बॉयलर बनाने के लिए किया जाता है। इन रिवेट्स की विशेषता यह है कि.............
Sankranti, the harvest festival, is celebrated in the month of Magh of the Hindu calendar and is known by different names in different parts of India. What is it called in Gujarat?
Who has written the book children minds? चिल्ड्रन माइंड्स पुस्तक किसने लिखी है?
Fill in the blank with the most appropriate antonym of the underlined word in the sentence. The winds were boisterous during the storm but later all became________.
‘‘वह मोर वह पपीहा थकते नहीं है जैसे’’ कविता के संदर्भ में एक पंक्ति का भाव है।
Washing soda (Na₂CO₃·10H₂O) is obtained from which compound in the Solvay process? सोल्वे (Solvay) प्रक्रिया में धावन सोडा Na₂CO₃·10H₂O) किस यौगिक से प्राप्त किया जाता है?
Who in the Winner of the Italian Grand Prix, 2020 इटालियन ग्रैंड प्रिक्स 2020 के विजेता कौन है?
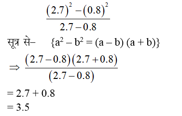
Explanations:
Download our app to know more Lorem ipsum dolor sit amet consectetur adipisicing elit. Excepturi, esse.
Unlocking possibilities: Login required for a world of personalized experiences.