निम्नलिखित में से कौन-सा गणितीय चिंतन और अभिकलनीय (कम्प्यूटेशनल) चिंतन के बारे में सही नहीं है?
A sentence has been given with a blank to be filled with an appropriate option. Choose the correct alternative. I always try to .......... chocholates for you.
The property of building material to absorb water vapour from the air is known as: वायु से जलवाष्प अवशोषित करने के लिए किसी भवन निर्माण पदार्थ के गुणधर्म को किस रूप में जाना जाता है?
प्रेमचंद द्वारा लिखित उपन्यास नहीं है
Given below are four jumbled sentences. Select the option that gives their correct order. A. The students often go about their business, singing along in the corridors. B. But for the students of St. Ambrose High School, it no longer dictates their day. C. A bell can sound gloomy or cheerful depending on when it is rung. D. It has been scrapped in favour of music which now breaks up the timetable of the school.
किसी वस्तु को दूसरे देश से अपने देश में क्रय कर लाने की क्रिया कहलाती है -
Rohan started from his house to go to his school. He went 100 meters towards the South then turned towards the West and walked 50 meters. He then turned right and walked 50 metre and finally he turned to his right and walked 100 meters to reach his school. In which direction is his house from the school? (All turns are 90° turns only)
The longitudinal valley lying between lesser Himalaya and the Shiwaliks are known as निम्न हिमाचल तथा शिवालिक के बीच में स्थित लंबवत् घाटी को किस नाम से जाना जाता है?
SATA is the abbreviation of SATA का संक्षिप्त नाम है–
Two-way switches are generally used for ........ द्वि-मार्गी स्विच प्राय: ------- के लिए उपयोग किए जाते हैं।
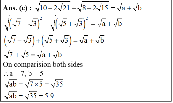
Explanations:
Download our app to know more Lorem ipsum dolor sit amet consectetur adipisicing elit. Excepturi, esse.
Unlocking possibilities: Login required for a world of personalized experiences.