____ are present in the first trophic level in the food chain. _____आहार श्रृंखला में प्रथम पोषी स्तर पर मौजूद होते हैं।
मुंशी धनपतराय को ‘प्रेमचन्द्र’ नाम से सुशोभित करने वाले व्यक्ति का नाम है :
SHACM अक्षरों द्वारा कितने अर्थपूर्ण शब्द बनाए जा सकते हैं जहाँ प्रत्येक शब्द में प्रत्येक अक्षर का केवल एक बार प्रयोग किया जा सकता है?
According to Kirchoff's current law, the algebraic sum of current is equal to- किरचॉफ के धारा नियम के अनुसार, सभी धाराओं का बीजगणितीय योग ........ के बराबर होता है–
उस विकल्प का चयन करें, जो अन्य से असंगत है।
Which of the following is NOT a type of rock?
How many chromosomes are there in the human being? मानव जीव में कितने गुणसूत्र होते है?
10 m लंबे एक खोखले स्टील के पाइप के आंतरिक और बाह्य व्यास क्रमश: 15 cm और 17 cm हैं। यदि इसके पृष्ठ के 1 cm² हिस्से को पेंट करने की लागत `0.15 है, तो इसके सभी पृष्ठों को पेंट करने की लागत ज्ञात कीजिए।
What is the inter-storey drift limitation in terms of storey height as per IS 1893:2016 ? मंजिल की ऊँचाई के IS 1893 : 2016 संबंध में भवन का अंतर-मंजिल ड्रिफ्ट रेशियो क्या है?
दो तापमानों की बीच लसीलेपन में होने वाले बदलाव की दर को कहते हैं
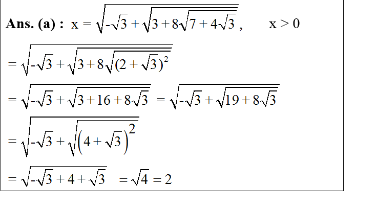
Explanations:
Download our app to know more Lorem ipsum dolor sit amet consectetur adipisicing elit. Excepturi, esse.
Unlocking possibilities: Login required for a world of personalized experiences.