Raphides are formed of रेफाइड्स किसके बने होते है?
Which of the following novels won the 2022 Pulitzer prize in the General Nonfiction category? निम्नलिखित में से किस उपन्यास ने जनरल नॉनफिक्शन श्रेणी में 2022 का पुलित्जर पुरस्कार जीता?
Manipur, Meghalaya and Tripura became states under ____.
∆ABC ~ ∆PQR. The areas of ∆ABC and ∆PQR are 64 cm² and 81 cm², respectively and AD and PT are the medians of ∆ABC and ∆PQR, respectively. If PT = 10.8 cm, then AD = ?
If the marks obtained by 15 students out of maximum 25 in an examination are 13, 11, 16, 15, 18, 12, 13 ,14, 10, 22, 15, 21, 20, 17 and 24 then final the product of the mode of the number of students.
Distribution factor for a member depends on the
A typical beam- column member in framed structure is subjected to________. फ्रेम युक्त संरचना में एक विशिष्ट धरन -स्तम्भ सदस्य के अधीन हैः
..............के लिए नेटवर्क में स्विच का प्रयोग किया जाता है।
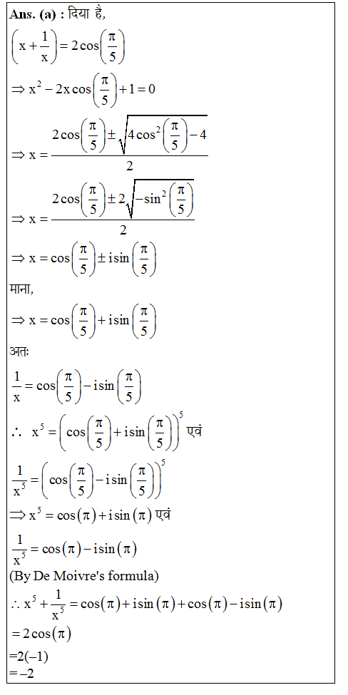
.
The 4 byte IP address consists of 4 बाइट IP एड्रेस में सम्मिलित होता है–
Explanations:
Download our app to know more Lorem ipsum dolor sit amet consectetur adipisicing elit. Excepturi, esse.
Unlocking possibilities: Login required for a world of personalized experiences.