इनमें से कौन-सा तद्भव शब्द है?
एक की वर्तनी शुद्ध है-
किरातार्जुनीयम् के प्रथम सर्ग में प्रयुक्त छन्द है
The largest four-digit number which when divided by 7, 11, and 13 leaves remainder 4 in each case is :
As per IS 3495 (Part 3), when there is a heavy deposit of salts accompanied by powdering and or flaking of the exposed surface of brick, the liability to efflorescence shall be reported as :/ IS : 3495 (भाग-3) के अनुसार जब ईंट की खुली सतह पर पाउडर लगने या परत उतरने के साथ-साथ नमक का भारी जमाव हो जाता है, तो उत्फुल्लन का दायित्व होना चाहिए।
Concrete mainly consists of
‘‘तत्पुरुष:’’ सूत्र है
राष्ट्रपति दौपदी मुर्मू ने किस देश के सेना प्रमुख को 'भारतीय सेना के जनरल' की मानद रैंक से सम्मानित किया?
If the excitation of an alternator operating in parallel with anothe alternator is increased above the normal value of excitation, its ____. यदि दूसरे अल्टरनेटर के साथ समानांतर में संचालित एक अल्टरनेटर का एक्साइटेशन, एक्साइटेशन के सामान्य मान से अधिक हो जाता है, तो इसका .........।
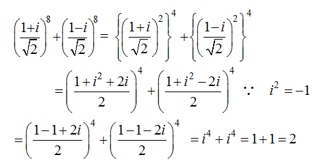
.
Explanations:
Download our app to know more Lorem ipsum dolor sit amet consectetur adipisicing elit. Excepturi, esse.
Unlocking possibilities: Login required for a world of personalized experiences.