Which of the following forests is called 'Lungs of the Earth'? किन वनों को ‘पृथ्वी का फेफड़ा’ कहा जाता है?
भारतीय मुक्केबाजी महासंघ का अध्यक्ष किसे नियुक्त किया गया है?
The distances travelled by a body falling freely from rest in the first, second and third second are in the ratio स्वतन्त्रतापूर्वक विराम से गिरते हुए पिण्ड द्वारा प्रथम, द्वितीय एवं तृतीय सेकण्ड में तय की गई दूरियों का अनुपात है
A lens with power + 2D will have a focal length of …….
Which of the following types of attack allows attackers to inject client side script into web pages? निम्न में से किस प्रकार का अटैक (हमला) अटैकर्स (हमलावारों) को क्लांइट साइड स्क्रिप्ट को वेब पृष्ठों में इंजेक्ट करने की अनुमति देता है?
उत्तर प्रदेश सरकार की ‘एक जिला एक उत्पाद’ योजना का लक्ष्य उत्तर प्रदेश में ________ को प्रोत्साहित करना है।
A dishonest trader says to customers that he sells his goods at a cost price, but he uses a false weight and gains 12.5% as profit. How many grams does he use to weight 1 kg?
A sum of money invested at 10% compound interest per annum amounts to रु 10,164 in 2 years interest compounded annually, what was the sum invested ?
फ्लेमिंग के बाएं हाथ के नियम में, अंगूठे और मध्यमा उंगली के बीच का कोण कितना होता है?
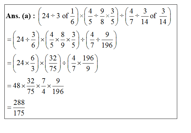
.
Explanations:
Download our app to know more Lorem ipsum dolor sit amet consectetur adipisicing elit. Excepturi, esse.
Unlocking possibilities: Login required for a world of personalized experiences.