.
उत्तर प्रदेश पंचायती राज अधिनियम, 1947 की धारा 15 ग्राम सभा के कार्यों का निर्धारण करती है– (i)कृषि एवं कृषि को बढ़ावा देना तथा विकास करना (ii) मैदानों एवं चारागाहों का विकास (iii) भूमि विकास में सरकार की सहायता न करना (iv)लघु सिंचाई परियोजनाओं से जल वितरण का प्रबंधन एवं सहायता करना। (v)डेयरी, मुर्गी पालन आदि को बढ़ावा न देना .सही कूट का चयन करें–
वह क्षेत्र जिसमें मशीन की मानवीय बुद्धिमत्ता (Human Intelligence) का परीक्षण होता है–
दिए गए अक्षर-समूह युग्म में, पहला अक्षर-समूह एक निश्चित तर्क के आधार पर दूसरे अक्षर-समूह से संबंधित है। दिए गए युग्मों का ध्यानपूर्वक अध्ययन कीजिए, और दिए गए विकल्पों में से उस युग्म का चयन कीजिए, जो समान तर्क का पालन करता है। YRF : UNB GLS : CHO
Which of the following statement/s is/are true for Uttar Pradesh?/उत्तर प्रदेश के लिए निम्नलिखित कथनों में से कौन सा/से कथन सही है/हैं? 1. Is the largest hub of sugarcane production in India भारत में गन्ने उत्पाद का सबसे बड़ा हब है। 2. Is the largest milk producing state in India. भारत का उच्चतम दूध उत्पादक प्रदेश है। 3. Is the highest Producer of rice in India. भारत में चावल का सबसे बड़ा उत्पादक है।
In Oxy-acetylene gas welding : ऑक्सी-एसिटिलीन गैस वेल्डिंग में :
उत्तर प्रदेश में उगाई गई निम्नलिखित फसलों में से किसकी अवधि न्यूनतम है?
Which of the following scientists gave final touch to cell thery? निम्न में से किस वैज्ञानिक ने कोशिका सिद्वान्त से अंतिम स्वरूप दिया?
शिक्षण–अधिगम प्रक्रिया को प्रारम्भ करने से पहले एक कुशल अध्यापक को क्या करना चाहिए?
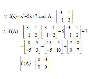
Explanations:
Download our app to know more Lorem ipsum dolor sit amet consectetur adipisicing elit. Excepturi, esse.
Unlocking possibilities: Login required for a world of personalized experiences.