त्रिआयामी शिक्षण सामग्री है–
In which method of depreciation, the life of the machine is expressed in terms of number of units that a machine is expected to produce over the estimated life? मूल्यह्रास की किस विधि में, मशीन का जीवन उन इकाइयों की संख्या के रूप में व्यक्त किया जाता है जो मशीन अनुमानित जीवन के दौरान उत्पादन करने की उम्मीद करती है?
The recommended workability of concrete used for in-situ pilling work is स्थल पाइल कार्य के लिए उपयुक्त की जाने वाली कंक्रीट के लिए अनुशंसित सुकार्यता है-
निम्नलिखित में से किस संगठन का नारा ‘‘सर्वत्र सर्वोत्तम सुरक्षा’’ है?
Select the option that expresses the given sentence in indirect speech. He said, “I bought this book for my brother.”
The demand made by lenin, known as 'April Theses' is/लेनिन के द्वारा माँगी गई माँग, जो ‘अप्रैल थीसिस’ कहलाती है, क्या है?
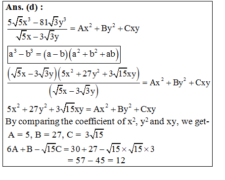
.
Heat is not directly related to –
From the given options, identify the segment in the sentence which contains the grammatical error. The constitutional order on which the Indian State run is that there shall be no discrimination on the basis of religion.
Explanations:
Download our app to know more Lorem ipsum dolor sit amet consectetur adipisicing elit. Excepturi, esse.
Unlocking possibilities: Login required for a world of personalized experiences.