The _______ is made of steel sheet piles and this type of cofferdam is proved successful in unwatering large areas.
If the angle of friction is zero, then body will experience a force which is
Calculate the mean of following set of values– 2.2, 4.2, 6.4, 8.3, 10.5
The equation a(x² + y² + z²)+2(ux+vy+wz) +d=0 where a 0, always represents a sphere, provided?
किस देश ने अनिश्चितकाल के लिए भारतीय पर्यटकों के लिए वीज़ा-फ्री एंट्री बढ़ा दी है?
PN is a secant intersecting a circle at points M and N such that PN > PM. A tangent PT is drawn to the circle touching it at T. If PM = 32 cm and PT = 40 cm, what is the length (in cm) of the chord MN? PN एक वृत्त की छेदक रेखा है जो इसे M और N बिंदुओं पर इस प्रकार प्रतिच्छेद करती है कि PN > PM वृत्त के बिंदु T का स्पर्श करते हुए एक स्पर्श रेखा PT खींची जाती है। यदि PM=32cm और PT = 40cm, तो जीवा MN की लंबाई (cm में) कितनी है?
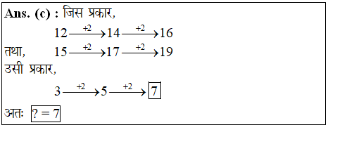
Select the number from among the given options that can replace the question mark (?) in the following series.
Which two mathematical symbols and numbers need to be interchanged to balance the given equation? दिए गए समीकरण को संतुलित करने के लिए किन दो गणितीय चिह्नों और संख्याओं को आपस में बदलना होगा? 16 x 18 + 2 – 14 ÷ 3 = 38
B को एक कार्य पूरा करने के लिए A की तुलना में 10 घंटे अधिक समय लगता, अगर उनमें से प्रत्येक ने अकेले–अकेले काम किया होता। एक साथ कार्य करते हुए वे उस कार्य को 12 घंटे में पूरा कर सकते हैं। B को उस काम का 50% करने के लिए कितने घंटे लगेंगे ?
Specifications for hold fasts are given in terms of _____:
Explanations:
Download our app to know more Lorem ipsum dolor sit amet consectetur adipisicing elit. Excepturi, esse.
Unlocking possibilities: Login required for a world of personalized experiences.