एक प्रभावशाली अध्यापिका होने के लिए यह महत्त्वपूर्ण है
आधारीय बीज पैदा किया जाता है
निम्नलिखित प्रश्न में, चार विकल्पों में से, उस विकल्प का चयन करें जो दिए गए शब्द के लिए सही तत्पुरुष समास के विग्रह का विकल्प हो। राज्यभवन
Under the "Gaon Ki Beti Yojana" of MP government, a scholarship of Rs. ........... per month is given for .......... months to the rural girls who pass their 12th exam in first division. मध्य प्रदेश सरकार की ‘‘गांव की बेटी’’ योजना के तहत, ग्रामीण लड़कियों को प्रति माह ........... रुपए की छात्रवृत्ति .......... महीने के लिए दी जाती है जो 12वीं परीक्षा में प्रथम श्रेणी से उत्तीर्ण होती हैं।
हाल ही में किसे राजस्व विभाग का अतिरिक्त प्रभार सौंपा गया है?
One hectare is equal to?/एक हेक्टेयर बराबर है:
For a linear elastic isotopic & homogenous material, how many number of independent elastic constant are present?
50 मेगाहर्ट्ज़ पर 10mV की माप के लिए कौन-सा मीटर उपयुक्त है?
Who wrote the book ‘Life Divine’? `लाइफ डिवाइन'पुस्तक किसने लिखी?
The validity of the order of the Government of India of 13th August, 1990, for the reservation to socially and educationally backward classes, was decided in which of the following years? सामाजिक तथा शैक्षणिक रूप से पिछड़े वर्गों के आरक्षण हेतु भारत सरकार के 13 अगस्त, 1990 के आदेश की वैधता निम्नलिखित में से किस वर्ष निर्णीत हुई थी?
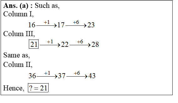
Explanations:
Download our app to know more Lorem ipsum dolor sit amet consectetur adipisicing elit. Excepturi, esse.
Unlocking possibilities: Login required for a world of personalized experiences.