.
निम्न में से कौन-सा छात्रों के पलायन का कारण नहीं होता?
In the opening invocation of the Paradise Lost ‘Oreb’ refers to
Select the option in which the words share the same relationship as that shared by the given pair of words. Fatigue : Rest
किसी लेबल पर यह कहना जरूरी है–
After the death of Prabhakarvardhan his wife had bumt herself on the bank of : प्रभाकरवर्धन की पत्नी ने उसके मृत्यु के बाद किस नदी के किनारे अपना आत्मदाह कर लिया?
In which method of depreciation, the life of the machine is expressed in terms of number of units that a machine is expected to produce over the estimated life? मूल्यह्रास की किस विधि में, मशीन का जीवन उन इकाइयों की संख्या के रूप में व्यक्त किया जाता है जो मशीन अनुमानित जीवन के दौरान उत्पादन करने की उम्मीद करती है?
What is the unit of strain energy density in the SI system?/ SI प्रणाली में विकृति ऊर्जा घनत्व की इकाई क्या है?
In which year the Central Province came in existence? मध्य प्रांत किस वर्ष अस्तित्व में आया?
Which of the following is NOT a function of a cross- regulator? निम्नलिखित में से कौन-सा, क्रॉस-रेगुलेटर का कार्य नहीं है?
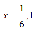
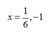
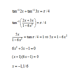
Explanations:
Download our app to know more Lorem ipsum dolor sit amet consectetur adipisicing elit. Excepturi, esse.
Unlocking possibilities: Login required for a world of personalized experiences.