Which of the following are the objective of the SEZ Act, 2005? एस.ई.जेड. अधिनियम, 2005 के उद्देश्य क्या हैं? 1. Genearation of additional economics activity/अतिरिक्त आर्थिक गतिविधियों का उत्पादन 2. Promotion of exports of goods and services/वस्तुओं और सेवाओं के निर्यात को बढ़ावा 3. Creation of employment/रोजगार निर्माण
ब्रह्मणा आत्माधीनं एकान्तगुणं योऽस्ति अपण्डितानाम्
If 15 persons takes 6 days to plow 10 acres of land how many persons will be required to plow 50 acres land in 10 days?
`अहं तव गृहं विचेष्यामि' का कर्मवाच्य में रूपान्तरण होगा –
.
एक वृत्त पर एक-दूसरे पर 75° के कोण पर झुकी हुई स्पर्श रेखाओं की एक जोड़ी खींचने के लिए यह आवश्यक है कि स्पर्श रेखाओं को वृत्त की उन दो त्रिज्याओं के अंतिम बिंदुओं पर खींचा जाये, जिनके बीच का कोण __________ है।
Which Article of the Constitution of India provides that there shall be a Council of Ministers with the Prime Minister as its head to aid and advice the President, who shall exercise his/her functions in accordance to the advice
In which district of Uttarakhand the famous ‘Neelkanth-Mahadev’ Temple is situated ? नीलकण्ठ महादेव का प्रसिद्ध मन्दिर उत्तराखण्ड के किस जिले में स्थित है?
होम चार्जेस या ब्रिटेन में भारतीय सरकार के खर्चे में समाहित थे।
बिहार में प्रति एक लाख जनसंख्या पर सड़क की लम्बाई है-
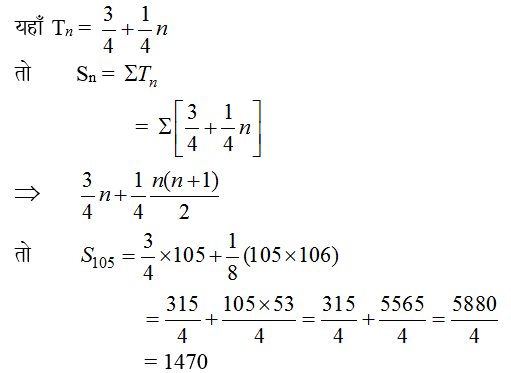
Explanations:
Download our app to know more Lorem ipsum dolor sit amet consectetur adipisicing elit. Excepturi, esse.
Unlocking possibilities: Login required for a world of personalized experiences.