In which of the following states of India is Iranshah Atash Behram located in the city of Udvada?
आहार में एस्कार्बिक अम्ल की कमी से जो रोग होता है, वह है -
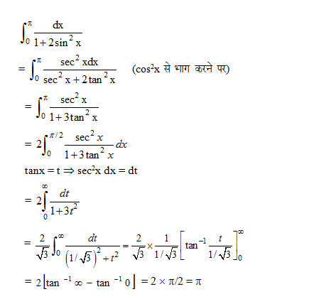
.
The money spent by MNCs to buy assets such as land, building, etc., is called बहुराष्ट्रीय कंपनियों द्वारा भूमि, भवन आदि जैसी संपत्ति खरीदने के लिए खर्च किया गया धन कहलाता है।
उत्तर प्रदेश में एक `बब्बर शेर सफारी' स्थापित किया जा रहा है –
Which of the following options is used to copy a text from one area to another in a word document? किसी वर्ड दस्तावेज में टेक्स्ट को एक क्षेत्र से दूसरे क्षेत्र में कॉपी करने के लिए निम्नलिखित में से किस विकल्प का उपयोग किया जाता है?
अभिक्रमायोजित अधिगम का प्रत्यय किसने दिया था -
Ajmer Sharif is the shrine of which of the following Sufi saints?
Force / mass =. . ....
Somesh is a shopkeeper who gives two successive discounts on an umbrella marked `560.The first discount given is 17%. If the customer Mahesh pays `420 for the umbrella then find the second discount given (correct to two places of decimal)
Explanations:
Download our app to know more Lorem ipsum dolor sit amet consectetur adipisicing elit. Excepturi, esse.
Unlocking possibilities: Login required for a world of personalized experiences.