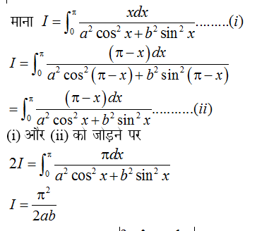
1
निर्देश (प्र. सं. 79-83) निम्नलिखित गद्यांश को पढ़कर नीचे दिए गए प्रश्नों के उत्तर दीजिए। संस्कृति किसी दो मंजिला मकान की तरह होती है। पहली मंजिल पर एकदम मूलभूत मगर चिरन्तन जीवन-मूल्य होते हैं। इसमें परस्पर सहकार्य, न्याय, सौन्दर्य जैसे मूलभूत तत्व आते हैं। ये मूल्य समय से परे होते हैं। पहली मंजिल पर दूसरी मंजिल का निर्माण किसी समाज की विशिष्ट आवश्यकता के अनुरूप होता है। धार्मिक, ऐतिहासिक परम्परा, आर्थिक लेन-देन, स्त्री-पुरुष सम्बन्ध और परिस्थितिजन्य अन्य मूल्यों का निर्माण में योगदान होता है। यह व्यवस्था मूलत: संरक्षणात्मक होने के कारण तरह-तरह के प्रतीक, परम्परा, रूढ़ि और अन्धविश्वास का सड़ा-सा पिंजरा बनाती है। इससे पहली मंजिल के मूलभूत मूल्यों की उपेक्षा होने लगती है। समाज को भ्रम होने लगता है कि दूसरी मंजिल की मूल व्यवस्था ही अपनी सच्ची संस्कृति है। भ्रम से कई तरह की विकृति उत्पन्न होती है, जो सामाजिक परिवर्तन से संघर्ष करने लगती है। वस्तुत: आज इन्हीं परिस्थितियों को मात देकर नई संस्कृति का निर्माण करना देश के सामने सबसे बड़ा कार्य है। इसमें शिक्षा पद्धति और प्रसार माध्यम महत्वपूर्ण भूमिका निभा सकते हैं। शिक्षा से भावी पीढ़ी पर सांस्कृतिक निष्ठा के संस्कार डाले जाते हैं। हमारी शिक्षा इस कसौटी पर खरी नहीं उतरी है। समाज में विषमता की खाई चौड़ी करने में ही इसका योगदान रहा है। यह अमीरों की दोस्त और गरीबों की दुश्मन हो गई है। एकाध ठीक-ठाक पाठशाला में बच्चे को प्रवेश दिलाने में बीस हजार रुपये तक हफ्ता देना पड़ता है।संस्कृति को दो मंजिला मकान की तरह क्यों बताया गया है?