Which of the following can be measured temperature without touching to object?
‘नागरी प्रचारिणी सभा’ के संस्थापकों में कौन नहीं थे?
X की आयु Y की 2/3 है। 6 वर्ष बाद, X की आयु 46 वर्ष हो जाएगी। Y की वर्तमान आयु कितनी है।
.
नेतुम्बो नंदी-नदैतवाह को हाल ही में किस देश की पहली महिला राष्ट्रपति के रूप में चुना गया है?
What is the height (in cm) of an equilateral triangle whose each side is 8 cm?
In Computer field, what does LIFO stand for?/कम्प्यूटर के क्षेत्र में, LIFO का पूर्ण रूप क्या है?
Madhav national park in Shivpuri was established in the year/शिवपुरी में माधव राष्ट्रीय पार्वâ को इस वर्ष में स्थापित किया गया था:
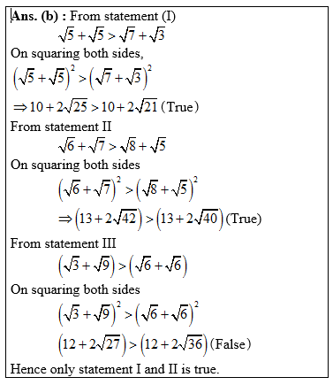
Explanations:
Download our app to know more Lorem ipsum dolor sit amet consectetur adipisicing elit. Excepturi, esse.
Unlocking possibilities: Login required for a world of personalized experiences.