निम्नलिखितं गद्यांशं पठित्वा नवप्रश्नानाम् (91-99) उत्तराणि यथोचितं विकल्पं चित्वा देयानि- संस्कृतभाषा भारतवर्षस्य संस्कारभाषा। भारते संस्कृत-भाषाया: प्रतिदिनं विविधसंस्कारकार्येषु प्रयोग: भवति। एतस्या: अनेकासु विशेषतासु इयम् अन्यतमा विशेषता यत् अस्या: वाङ्मये विद्यमाना: सूक्तय: अभ्युदयाय प्रेरयन्ति। अत एव वयं भारत-प्रशासनस्य विभिन्नेषु विभागेषु ध्येय-वाक्य-रूपेण एतेषां प्रयोगं पश्याम:। एतत् चित्रं पश्यत। एतत् भारतशासनस्य राजचिह्नमस्ति। अध: ‘सत्यमेव जयते’ इत्येष: संस्कृतपद्यांश: लिखित: अस्ति। भारतशासनस्य मुद्रायामङ्कितामिदं संस्कृतस्य महत्वमुद्भावयति। जीवनबीमानिगमस्य चित्रे द्वयो: हस्तयो: मध्ये एक: दीप: अस्ति। अध: च ‘योगक्षेमं वहाम्यहम्’ इति लिखितम्। श्रीमद्भगवद्गीताया: अयं पद्यांश: अस्य शोभां द्विगुणयति। भारतीयवायुसेनाया: चिह्ने विमानं वर्तते। तत्र लिखितं वायुसेनाया: ध्येयवाक्यम् ‘नभ:-स्पृशं दीप्तम्’ संस्कृत-भाषाया: गौरवगाथां प्रकटयति। हरियाणा-शासनस्य राज्यचिह्नस्य चित्रे अपि श्रीमद्भगवद्गीताया: ‘योग: कर्मसु कौशलम्’ इत्ययं श्लोकांश जनान् प्रेरयति। लोकसभाध्यक्षस्य आसनस्योपरि अपि सर्वोच्चस्थाने उल्लिखिता अस्ति-‘धर्मचक्र-प्रवर्तनाय’ इति संस्कृतवाक्यम्। लोकसभाया: केन्द्रीयसभातलस्य भित्तिकायां ‘अयं निज: परो वेति’ सुप्रसिद्ध: संस्कृत-श्लोकं लिखितं अस्ति। डाक-तार-विभागस्य ध्येयवाक्यम्-‘अहर्निशं सेवामहे’ अतीव उपयुक्तमस्ति। यत: अस्य विभागस्य कार्यं दिने रात्रौ च निरन्तरं चलति। पश्यत्, इदं ‘राष्ट्रीयशैक्षिकानुसन्धानप्रशिक्षण-परिषद्’ इत्यस्य ध्येय-वाक्यं ‘विद्ययाऽमृतमश्नुते’ संस्कृतभाषायाम् एव अस्ति। अन्ये चापि बहव: भारतशासनस्य विभागा: सन्ति येषु संस्कृतध्येय-वाक्यानि स्वीकृतानि सन्ति। अलमतिविस्तरेण। एतेन सुस्पष्टं भवति यत् संस्कृतभाषा भारतस्य जीवनभूता। भारते भाति भारती।‘नभ: स्पृशं दीप्तम्’ कस्य ध्येय-वाक्यम् अस्ति?
भारत में हर साल किस तारीख को राष्ट्रीय सुरक्षित मातृत्व दिवस मनाया जाता है?
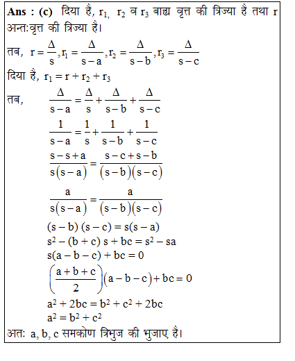
.
A seller buys a certain number of bananas at the rate of 8 for `5 and sells them at the rate of 5 for `8. What will be his profit percentage?
एक वृत्त की सबसे बड़ी जीवा का माप 10 सेमी. और सबसे छोटी जीवा का माप 4 सेमी. है। वृत्त की त्रिज्या ज्ञात करें।
उस युग्म को चुनें जो नीचे दिए गए युग्म के समान संबंध दर्शाता है। ABD : EGH
Select the option that represents the correct order of the given words as they would appear in an English dictionary. 1. Catalyst 2. Carrot 3. Calcium 4. Calculate 5. Calendar
राष्ष्ट्रीय राजमार्ग 128 (NH-128) का पुराना नाम क्या था?
Explanations:
Download our app to know more Lorem ipsum dolor sit amet consectetur adipisicing elit. Excepturi, esse.
Unlocking possibilities: Login required for a world of personalized experiences.