If a body falls freely (initial velocity = 0) from a height, then the distance moved in nth second is given by : (g = acceleration due to gravity)
यू.पी. से शुरू होने वाला सबसे लम्बा राष्ट्रीय राजमार्ग है:
In a certain code language 'ENVY' is written as 'FMWX' and 'ALAS' is written as 'BKBR'. How will 'BODY' be written in that language?
Which of the following is the role of a teacher in construction of student's knowledge? निम्नलिखित में से कौन सी एक छात्र के ज्ञान के निर्माण में शिक्षक की भूमिका है ? I. Providing authentic work I. प्रामाणिक कार्य प्रदान करना। II. Encouraging them to ask intelligent questions. II. उन्हें बुद्धिमान प्रश्न पूछने के लिए प्रोत्साहित करना। III. Promotion of best practices. III. सविमर्ष अभ्यास को बढ़ावा देना।
Chain survey is mainly done using triangulation technique because:
For a 10 kVA single-phase transformer, if the iron losses at half load are 500 W, then the iron losses at full load will be .............. एक 10 kVA एकल फेज ट्रांसफार्मर के लिए, यदि अर्द्ध लोड पर लौह हानि 500 W है, तो पूर्ण लोड पर लौह हानि ............ होगी।
बालगंगा निम्न में से किस की सहायक नदी है –
किस घटना ने भारत में बहुत से पर्यावणीय कानून बनाने की प्रेरणा प्रदान की?
What is inferred from the negative value of Joule-Thomson coefficient for a gas? एक गैस के ऋणात्मक जूल-थॉमसन गुणांक से क्या निष्कर्ष निकलता है–
धारा की चाल 3 किमी०/घण्टा है, और शांत जल में एक आदमी के तैरने की चाल 5 किमी/घण्टा है। धारा प्रवाह की दिशा में 26 किमी तैरने के लिए आदमी द्वारा कितना समय लिया जाएगा?
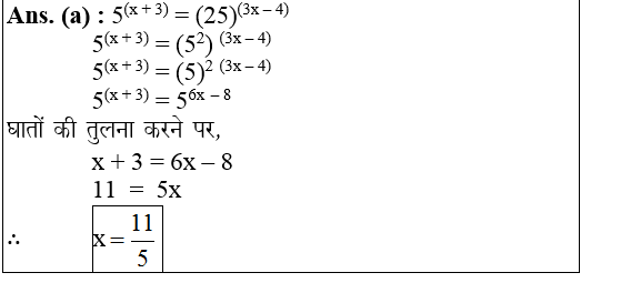
Explanations:
Download our app to know more Lorem ipsum dolor sit amet consectetur adipisicing elit. Excepturi, esse.
Unlocking possibilities: Login required for a world of personalized experiences.