On the basis of buoyancy theory, the ship floats in water, which scientist is first credited with identifying this principle
Which of the following is the correct full form of the term DDA? निम्नलिखित में से कौन डीडीए शब्द का सही पूर्णरूप है?
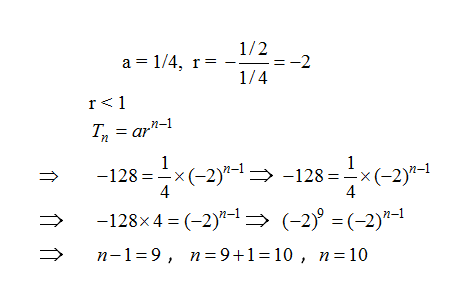
.
जब राजीव गांधी ने प्रधानमंत्री पद की शपथ ली थी, उस समय भारत के राष्ट्रपति कौन थे?
Among these triangulations which has highest order and most precise control points: इन त्रिभुजों में से किसमें क्षैतिज नियंत्रण और मापों को परिशुद्धता का मान अधिकतम रखा जाता है?
The inputs used in the production of goods or services to make an economic profit are known as ………. .
Select the option that is appropriate regarding the following two statements pertaining to lining of canals, labelled as Assertion and Reason. Assertion: The expenditure on lining depends on the availability of construction materials and transportation charges. Reason: To reduce the expenditure on lining, materials which are available in the vicinity of the project should be utilized.
निम्नलिखित में से किस राज्य ने खेलो इंडिया यूथ गेम्स (Khelo India Youth Games) के चौथे संस्करण की मेजबानी की?
राष्ट्रीय ऊर्जा संरक्षण पुरस्कार 2025 से किस रेलवे स्टेशन को सम्मानित किया गया है?
रेटिनॉल मुख्य रूप से ........... से संबंधित है–
Explanations:
Download our app to know more Lorem ipsum dolor sit amet consectetur adipisicing elit. Excepturi, esse.
Unlocking possibilities: Login required for a world of personalized experiences.