भारत और किस देश के बीच संयुक्त सैन्य अभ्यास 'विनबैक्स 2025' 5वाँ संस्करण आयोजित किया गया?
उत्तर प्रदेश में आयकर आयुक्त का पद सेवा में किसके बराबर है?
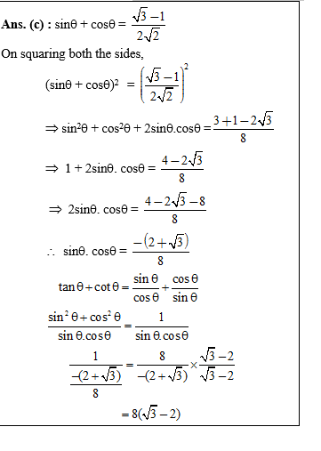
.
2011 की जनगणना के अनुसार, बिहार के निम्नलिखित में से किस जिले का लिंगानुपात 1000 से अधिक है?
Which of the following reforms led to the implementation of the Government of India Act of 1919?
Which of the following statement is correct? निम्नलिखित में से कौन-सा कथन सही है? I. In 1801, a subsidiary treaty was imposed on Avadh. I. 1801 में अवध पर सहायक संधि लगाई गई थी। II. Bahadur Shah Zafar died in Rangoon Jail in November 1862. II. नवंबर 1862 में रंगून जेल में बहादुरशाह जफर की मृत्यु हुई थी।
बोल्टों और नटों पर निम्नलिखित थ्रेड फॉर्मों में से किस का प्रयोग साधारण फास्टिंनग कार्यों के लिए किया जाता है?
According to the assumptions made in the limit state method of design of a compression member, The maximum compressive strain in concrete under axial compression is _____. एक सम्पीडन सदस्य के अभिकल्पन की सीमा अवस्था विधि में बनाई गई मान्यताओं के अनुसार, अक्षीय सम्पीडन के तहत कंक्रीट में अधिकतम सम्पीडन विकृति ___________ होती है।
When the cardboard placed on the glass tumbler is flicked away with a finger a coin placed on it fall in the glass. Which law defines the above statement –
Explanations:
Download our app to know more Lorem ipsum dolor sit amet consectetur adipisicing elit. Excepturi, esse.
Unlocking possibilities: Login required for a world of personalized experiences.