‘‘यां चिन्तयामि सततं मयि सा विरक्ता’’ पंक्ति किस पुस्तक से उद्धृत है?
An object weights 60 N when measured on the surface of the earth, its weight on the lunar surface will be-
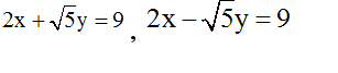
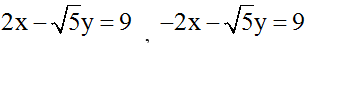
If secθ + tanθ = 6, then secθ = ?
वर्नियर कैलिपर के द्वारा बाहरी, अंदरूनी और गहराई की मापों को मापने व चेक करने के लिए किया जाता है।
SATA is the abbreviation of SATA का संक्षिप्त नाम है–
किस विकल्प में सही विलोम-युग्म है ?
भारतीय उपमहाद्वीप में निम्नलिखित किस स्थल से सर्वप्रथम होमिनिड जीवाश्म की खोज की गई?
Total quantity method is a type of _____. कुल मात्रा विधि का एक प्रकार है-
हाल ही में किसे इफको के अध्यक्ष के रूप में चुना गया है?
Which of the following is inversely proportional to the generated EMF of DC generator? निम्नलिखित में से कौन डीसी जनित्र के उत्पादित वि.वा.बल के व्युत्क्रमानुपाती होता है?
Explanations:
Download our app to know more Lorem ipsum dolor sit amet consectetur adipisicing elit. Excepturi, esse.
Unlocking possibilities: Login required for a world of personalized experiences.