Assuming that the surface of the sun emits as a black-body having maximum intensity near 500 nm wavelength, the temperature of the sun will be. यह मानते हुए कि सूर्य की सतह से एक ब्लैक बाड़ी (श्याम पिण्ड) की भांति विकिरण उत्सर्जित होती है जिसकी अधिकतम (उच्चतम) तीव्रता 500 मिमी तरंगदैर्घ्य के समीप मापी जाती है। सूर्य की सतह का तापमान क्या होगा?
Which of the following is NOT a fundamental building block in estimating construction labour estimates? निम्नलिखित में से कौन सा निर्माण श्रम अनुमानों का आकलन करने में मूलभूत भवन खंड नहीं है?
एक पासे की तीन अलग–अलग स्थितियाँ नीचे दिखाई गई हैं। संख्या 6 के सामने वाले फलक पर कौन–सी संख्या आएगी?
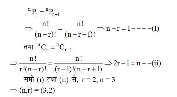
.
निम्नलिखित में से कौन सा युग्म सुमेलित नहीं है?
मेघदूत में वर्णित `पुष्करावर्तक' है :
In the context of natural satellites in our solar system, which of the following statements is NOT correct?
Computers work much faster than humans. This characteristic of computers is also known as :
The simple interest on रु 1280 at 5% p.a. for 3 years is:
Who is the hero of Everyman in his Humor?
Explanations:
Download our app to know more Lorem ipsum dolor sit amet consectetur adipisicing elit. Excepturi, esse.
Unlocking possibilities: Login required for a world of personalized experiences.