The unit of pressure is/दाब का मात्रक है
.
Select the option that is related to the third term in the same way as the second term is related to the first term. Aids : Virus : : Malaria : ?
During the Delhi Sultanate, the designation 'Muqaddam or Chaudhuri' was used for दिल्ली सल्तनत के दौरान ‘मुकद्दम’ पद का इस्तेमाल किनके लिए किया जाता था?
Who among the following was not the member of the Cabinet Mission? इनमें से कौन कैबिनेट मिशन के सदस्य नहीं थे?
A cantilever beam of span L is built-in at the support. It is restrained against lateral deflection and torsion at the free end. The effective length of compression flange for the beam as per IS 800 : 2007 is : स्पैन L वाला एक कैंटीलीवर बीम एक आलंब में अंतर्निर्मित है। यह मुक्त छोर पर पाश्र्व विक्षेपण और मरोड़ के विरुद्ध स्तंभित है। IS 800 : 2007 के अनुसार, बीम के लिए कम्प्रेशन फ्लैंज की प्रभावी लंबाई _______ है।
When compared to mild steel bar, the percentage of carbon content in high strength deformed bar is
निर्देश–नीचे दिए गए गद्यांश को पढ़कर पूछे गए प्रश्नों (1 से 9 तक) के सबसे उपयुक्त उत्तर वाले विकल्प को चुनिए– मानव के मर्मस्थल में परोपकार और त्याग जैसे सद्गुणों की जागृति तभी हो पाती है, जब वह अपने तुच्छ भौतिक जीवन को नगण्य समझकर उत्साह-उमंग के साथ दूसरों की सेवा-सुश्रूषा तथा सत्कार करता है। यह कठोर सत्य है कि हम भौतिक रूप में इस संसार में सीमित अवधि तक ही रहेंगे। हमारी मृत्यु के बाद हमारे निकट सम्बन्धी, मित्र, बन्धु-बांधव जीवनभर हमारे लिए शोकाकुल और प्रेमाकुल भी नहीं रहेंगे। दुख मिश्रित इस निर्बल भावना पर विजय पाने के लिए तब हमारे अन्तर्मन में एक विचार उठता है कि क्यों न हम अपने सत्कर्मों और सद्गुणों का प्रकाश फैलाकर सदा-सदा के लिए अमर हो जाएँ। सेवक-प्रवृत्ति अपनाकर हम ऐसा अवश्य कर सकते हैं। अपने नि:स्वार्थ व्यक्तित्व और परहित कर्मों के बल पर हम हमेशा के लिए मानव जीवन हेतु उत्प्रेरणा बन सकते हैं। अनुपम मनुष्य जीवन को सद्गति प्रदान करने के लिए यह विचार नया नहीं है। ऐसे विचार सज्जन मनुष्यों के अन्तर्मन में सदा उठते रहे हैं तथा इन्हें अपनाकर वे दुनिया में अमर भी हो गए। इस धरा पर स्थायी रूप में नहीं रहने पर भी ऐसे परहितकारी कालांतर तक पूजे जाते रहेंगे। अमूल्य मनुष्य जीवन की सर्वश्रेष्ठ शिक्षा यही है। यही सीखकर मनुष्य का जीवन आनंदमय और समृद्धिशाली हो सकता है। यदि इस प्रकार मानव जीवन उन्नत होता है तो यह संपूर्ण संसार स्वर्गिक विस्तार ग्रहण कर लेगा। किसी भी मानव को अध्यात्मिकता का जो अंतिम ज्ञान मिलेगा, वह भी यही शिक्षा देगा कि धर्म-कर्म का उद्देश्य सत्कर्मों और सद्गुणों की ज्योति फैलाना ही है। शेष शब्दों से भिन्न शब्द पहचानिए–
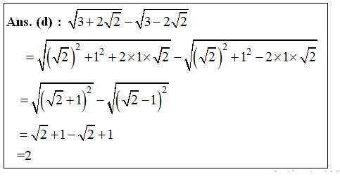
Explanations:
Download our app to know more Lorem ipsum dolor sit amet consectetur adipisicing elit. Excepturi, esse.
Unlocking possibilities: Login required for a world of personalized experiences.