The shear strength of concrete depends on:
पहिए के रूप में प्रारम्भ होकर आज की औद्योगिक क्रान्ति के विकास क्रम में निम्न में से कौन-सा सम्मिलित है?
एलिज़ाबेथ बोर्न किस देश की प्रधानमंत्री थी जिन्होंने हाल ही में इस्तीफा दिया है?
कॉफी बनाना..............निर्णय का एक उदाहरण है।
Comprehension: A passage is given with 5 questions following it. Read the passage carefully and choose the best answer to each question out of the four alternatives The Emperor Penguin is a penguin that lives in Antarctica. It is the tallest and heaviest of all penguin species. Emperor Penguins are black and white like all penguins but the sides of their neck are golden. Emperors live in the coldest climate on earth. They breed at the beginning of the Antarctic winter (March and April), on the ice all around the Antarctic continent. The shape of their body helps them to survive. They have short wings that help them dive up to 900 feet to catch larger fish. They can swim up to 12 miles per hour for a short time, which lets them escape from their main enemy, the Leopard Seal. They can stay warm because they have a thick layer of blubber. In addition, the layer of soft feathers trap air that keeps the body heat in and cold air and water out. Who is considered to be the natural predator of Emperor Penguins ?
Select the option that is related to the third word in the same way as the second word is related to the first word. (The words must be considered as meaningful English words and consonants/vowels in the word) India : Asia :: Brazil : ? उस विकल्प का चयन कीजिए जो तीसरे शब्द से उसी प्रकार संबंधित है जिस प्रकार दूसरा शब्द पहले शब्द से संबंधित है। (शब्दों को अर्थपूर्ण हिंदी शब्दों के रूप में माना जाना चाहिए और शब्द में अक्षरों की संख्या/व्यंजनों/स्वरों की संख्या के आधार पर एक-दूसरे से संबंधित नहीं होने चाहिए) भारत : एशिया :: ब्राजील :?
हाल ही में ‘गज मित्र’ योजना किस राज्य सरकार द्वारा शुरू की गई है?
.
अलकनन्दा और सरस्वती नदी का संगम है-
Pick up the incorrect statement from the following :/निम्नलिखित में से गलत उत्तर चुनिये :
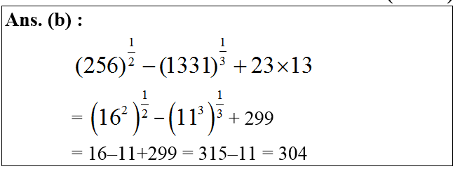
Explanations:
Download our app to know more Lorem ipsum dolor sit amet consectetur adipisicing elit. Excepturi, esse.
Unlocking possibilities: Login required for a world of personalized experiences.