Members of Rajya Sabha are elected for a term of राज्यसभा के सदस्यों का चयन __________ की अवधि के लिए किया जाता है।
Which of the following is NOT a correct statement?
निम्नलिखित में से कौन-सा शब्द ‘हंस’ की जगह प्रयुक्त नहीं किया जा सकता है?
गगनयान मिशन के लिए कितने अंतरिक्ष यात्रियों को नामित किया गया है?
ठहरे हुए पानी में एक नाव की गति 20 km/hr है। यह नाव 364 किलोमीटर नीचे की ओर बहाव में यात्रा करती है और फिर बहाव के उल्टी दिशा में यात्रा करके अपने प्रारंभिक बिंदु पर पहुंचती है। इस यात्रा में कुल 40 घंटे लगते हैं। धारा की गति कितनी है?
Change the following sentence from Active Voice to Passive Voice. Do you expect help from your friends?
Robin says, ''If Jai gives me Rs. 40. He will have half as much as Atul, but if Atul gives me Rs. 40, then the three of us will all have the same amount. What is the total amount of money that Robin, Jai and Atul have between them./
Directions (Q. Nos. 126 to 132): Find one word expression for the group of words given below. Resulting in death
What was the venue of the 23rd meeting of the Shanghai Cooperation Organisation (SCO) in 2024? 2024 में शंघाई सहयोग संगठन (SCO) की 23वीं बैठक का आयोजन स्थल कहाँ था?
1857 ई. के विद्रोह ने बिहार के कई नगरों को प्रभावित किया। बिहार के विभिन्न नगरों में विद्रोह के विस्फोट का सही क्रम निम्नलिखित में कौन-सा है?
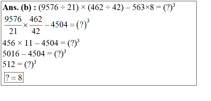
Explanations:
Download our app to know more Lorem ipsum dolor sit amet consectetur adipisicing elit. Excepturi, esse.
Unlocking possibilities: Login required for a world of personalized experiences.