Which of the following numbers will replace the question mark (?) in the given series? 225, 200, 183, 174, ?, 168
If Rs. 25,000 is to be divided among A, B and C in the ratio of 1/10 : 1/6 : 1/15, then how much will C get (in Rs.) ?
निर्देश : नीचे दिए गद्यांश को पढ़कर पूछे गए प्रश्नों (प्र.सं. 325से 333) के सही/सबसे उचित उत्तर वाले विकल्प को चुनिए। उत्तर भारत के संत कवि कबीर और दक्षिण भारत के संत कवि तिरुवल्लुवर के समय में लगभग दो हजार वर्ष का अंतराल है किंतु इन दोनों महाकवियों के जीवन में अद्भभुत साम्य पाया जाता है। दोनों के माता-पिता ने जन्म देकर इन्हें त्याग दिया था, दोनों का लालन-पालन निस्संतान ने बड़े स्नेह और जतन से किया था। व्यवसाय से दोनों जुलाहे थे। दोनों ने सात्विक गृहस्थ जीवन की साधना की थी। तिरुवल्लुवर का प्रामाणिक जीवन-वृत्तांत प्राप्त नहीं होता। प्राय: उन्हें चेन्नई के निकट मइलापुर गाँव का जुलाहा माना जाता है किंतु कुछ लोगों के अनुसार वे राजा एल्लाल के शासन में एक बड़े पदाधिकारी थे और उन्हें वैसा ही सम्मान प्राप्त था जैसा चंद्रगुप्त के शासनकाल में चाणक्य को। उनके बारे में अनेक दंतकथाएँ प्रचलित हैं। जैसे कहा जाता है कि एक संन्यासी नारी जाति से घृणा करता था। उसका विश्वास था कि स्त्रियाँ बुराई की जड़ हैं और उनके साथ ईश्वर-भक्ति हो ही नहीं सकती। तिरुवल्लुवर ने बड़े आदर से उसे अपने घर बुलाया। दो दिन उनके परिवार में रहकर सन्यासी के विचार ही बदल गए। उसने कहा, ‘यदि तिरूवल्लुवर और उनकी पत्नी जैसी जोड़ी हो तो गृहस्थ जीवन ही श्रेष्ठ है।’’ कबीर के दोहों की भाँति तिरुवल्लुवर ने भी छोटे छंद में कविता रची जिसे ‘कुरल’ कहा जाता है। कुरलों का संग्रह उनका एकमात्र ग्रंथ है ‘तिरुवल्लुवर’। तिरुवल्लुरल को तमिल भाषा का वेद माना जाता है। इसका प्रत्येक कुरल एक सूक्ति है और सूक्तियाँ सभी धर्मों का सार है। संपूर्ण मानवजाति को शुभ के लिए प्रेरित करना ही इसका उद्देश्य प्रतीत होता है। जैसे धर्म के बारे में दो कुरलो का आशय है : ⦁ भद्र पुरूषों! पवित्र मानव होना ही धर्म है। स्वच्छ मन वाले बनो और देखो तुम उन्नति के शिखर पर कहाँ-से-कहाँ पहुँच जाते हो। ⦁ झूठ न बोलने के गुण को ग्रहण करो तो किसी अन्य धर्म की आवश्यकता ही न रहेगी। नारी जाति से घृणा करने वाले संन्यासी के विचार तिरुवल्लुर ने कैसे बदले?
Where is the 11th century centre for Sanskrit studies and temple of Sarasvati called Bhojshala located in Madhya Pradesh? मध्य प्रदेश में भोजशाला नामक संस्कृत अध्ययन के लिए 11वीं सदी का केंद्र और सरस्वती मंदिर कहां स्थित है?
In case of which of the following electric lamps can the light be obtained by discharge of electricity between two electrodes in gas or vapour? निम्नलिखित में से किस विद्युत लैंप में, गैस या वाष्प में दो इलेक्ट्रोड के बीच विद्युत विसर्जन से प्रकाश प्राप्त किया जा सकता है?
If 10 km long railway line is shown by 20 cm long line on a map, then scale used is
The slopping floor below and in continuation of the raised crest of a weir is known as ______. एक वीयर के उभरे हुए क्रेस्ट के नीचें और इसके साथ निरंतरता में प्रवणता वाले फ्लोर को___________ के रूप में जाना जाता है।
sin (45° + θ) – cos (45° – θ) is equal to Sin (45° + q) – cos (45° – q ) बराबर है
भारत की जनगणना 2011 के अनुसार, निम्नलिखित में से किस राज्य में पुरुषों और महिलाओं की साक्षरता दर में अंतर सर्वाधिक था?
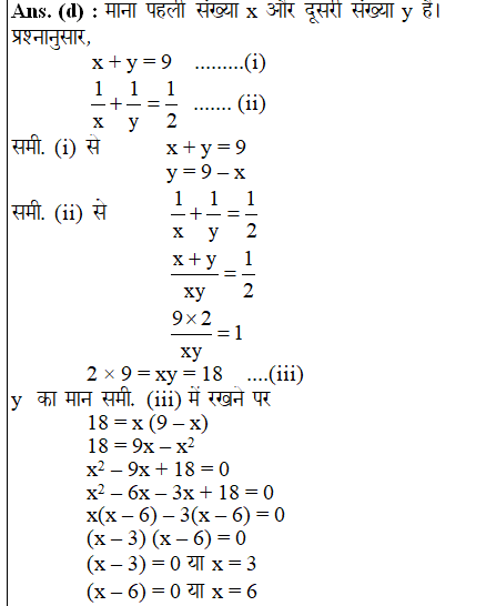
.
Explanations:
Download our app to know more Lorem ipsum dolor sit amet consectetur adipisicing elit. Excepturi, esse.
Unlocking possibilities: Login required for a world of personalized experiences.