In which year, Government school of Art, Kolkata has been founded? गवर्नमेण्ट स्कूल ऑफ आर्ट, कलकत्ता की स्थापना किस वर्ष में हुई?
Why physical education is an integral part of the education process? शारीरिक शिक्षा, शिक्षा प्रक्रिया का एक अभिन्न अंग क्यों है? I. Students learn to incorporate physical activity into their daily lives. I.छात्र अपने दैनिक जीवन में शारीरिक गतिविधियो को शामिल करना सीखते हैं। II. Students understand that an active and healthy lifestyle promotes their personal development and enables them to face the challenges of the society. II. छात्र यह समझते हैं कि एक सक्रिय तथा स्वस्थ जीवन शैली उनके व्यक्तिगत विकास को बढ़ावा देती है और उन्हें समाज की चुनौतियों का सामना करने में सक्षम बनाती है।
‘विद्यालयं निकषा जलाशय: अस्ति' का सही अर्थ है?
निम्नलिखित में से किसका उत्तरी भाग सह्याद्री के नाम से भी जाना जाता है?
भारत का 56वां टाइगर रिजर्व कौन सा है?
चक्रवाती तूफ़ान 'दितवाह' (Ditwah) का नाम किस देश ने सुझाया है?
फेडरेशन ऑफ इंडियन एक्सपोर्ट ऑर्गनाइजेशन के नए अध्यक्ष के रूप में किसे नियुक्त किया गया है?
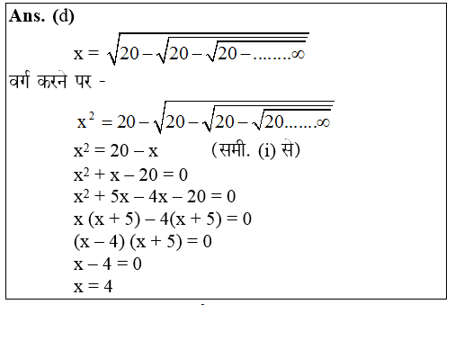
.
हाल ही में चर्चा में रहा महुआदानर वुल्फ सैंक्चुरी किस राज्य में स्थित है?
Gagan borrowed a sum of `2500 at 8% compound interest per annum. He paid `1000 at the end of the first year and four 500 at the end of the second year. How much will be have to be pay (to the nearest rupees) to clear his dues at the and of 4 years?
Explanations:
Download our app to know more Lorem ipsum dolor sit amet consectetur adipisicing elit. Excepturi, esse.
Unlocking possibilities: Login required for a world of personalized experiences.