किसी हिस्से के समानांतर रेखाओं को खुरचने के लिए निम्न में से किसका प्रयोग किया जा सकता है?
The cost price of a table to Ravi, was Rs. 1600. Ravi sold this table at a loss of 10%. What was the price at which Ravi sold the table?
................ का अर्थ है, एक घर के आंतरिक भाग को ताजा करने के लिए दूषित वायु को बाहर निकालकर शुद्ध वायु परिसंचरित करना।
Eruption of teeth starts at the age of ....... month. दॉत के निकलने की शुरुआत .......महीने में होती है।
Till date, who is the only Indian to have been awarded the Nobel Prize for Literature? अभी तक, निम्न में से कौन-से एकमात्र भारतीय हैं, जिसे साहित्य के लिए नोबेल पुरस्कार से सम्मानित किया गया है?
Which one of the following is an assumption that is not inherent to unit hydrograph model? निम्नलिखित में से कौन-सी एक धारणा है जो इकाई हाइड्रोग्राफ मॉडल में अंतर्निहित नहीं है?
निम्न समीकरण में प्रश्न चिह्न (?) के स्थान पर कौन-सी संख्या आ सकती है ?
Hazard markers should reflect __________ light, visible at least from a distance of about ___________.
Which is the rarest element? सबसे दुर्लभ तत्व कौन है?
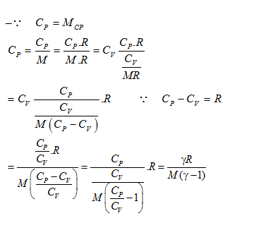
.
Explanations:
Download our app to know more Lorem ipsum dolor sit amet consectetur adipisicing elit. Excepturi, esse.
Unlocking possibilities: Login required for a world of personalized experiences.