.
Why do some children get sick or injured more than others?/कुछ बच्चों को दूसरों की तुलना में अधिक बिमारी या चोटें क्यों होती है? I. Parental Smoking is an important Preventable cause of childhood illness and death. I. माता-पिता का धूम्रपान बचपन की बीमारी और मृत्यु का एक महत्वपूर्ण रोकथाम योग्य कारण है। II. Children of families of higher socioeconomic status have a higher risk of illness and injury. II. उच्च सामाजिक आर्थिक स्थिति में परिवार के बच्चे को बिमारी और चोट का उच्च अधिक होता है।
निम्नलिखित में से कण्ठ से उच्चरित होने वाली ध्वनि है–
Which is the most important work of the Hinayana school?
वह मशीनी उपकरण जो संरक्षण कृषि में प्रयुक्त नहीं होता है।
निम्नलिखित में से किस देश में ‘फेड्कोर (FEDECOR)’ नामक एक लोक हित समूह सक्रिय है?
निम्नलिखित श्रेणियों को दक्षिण से उत्तर की ओर के क्रम में व्यवस्थित कीजिए तथा नीचे दिए गए कूट से सही उत्तर का चयन कीजिए: 1. जास्कर श्रेणी 2. धौलाधर श्रेणी 3. लद्दाख श्रेणी 4. काराकोरम श्रेणी कूट:
In ∆PQR, ∠Q = 85⁰ and ∠R = 65⁰. Points S and T are on the sides PQ and PR, respectively such that ∠STR = 95⁰, and the ratio of the QR and ST is 9 : 5. If PQ = 21.6 cm, then the length of PT is:
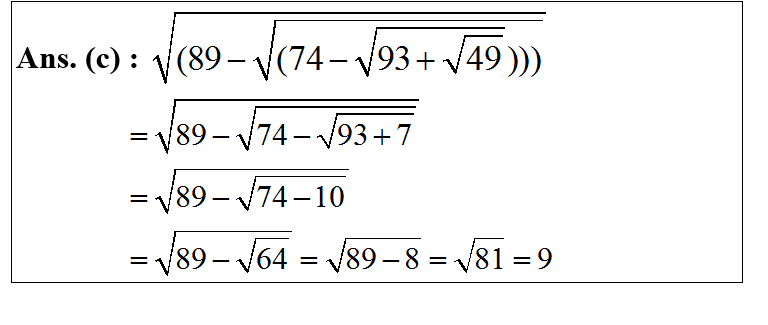
Explanations:
Download our app to know more Lorem ipsum dolor sit amet consectetur adipisicing elit. Excepturi, esse.
Unlocking possibilities: Login required for a world of personalized experiences.