पुस्तक ‘ए लाइ़फ मिसपेंट’ किसके द्वारा लिखी गई थी?
Which of the following indicators is NOT used to calculate Human Development Index (HDI)? निम्नलिखित सूचकांकों में से कौन-सा मानव विकास सूचकांक (एच.डी.आई.) की गणना में सम्मिलित नहीं किया जाता है?
भारत में सहकारी बैंकों के संदर्भ में निम्नलिखित कथनो पर विचार कीजिए तथा नीचे दिए गए कूट से सही उत्तर का चयन कीजिए। 1. सहकारी बैंक नो प्रॉफिट नो लॉस के आधार पर काम करते हैं। 2. सहकारी बैंकों को केवल कृषि क्षेत्र में काम करने की अनुमति है। 3. नाबार्ड एक सहकारी बैंक है।
.
The design speed for a highway increases with an increase in the:
निर्देश : नीचे दिए गद्यांश को पढ़कर पूछे गए प्रश्नों (प्र.सं. 325से 333) के सही/सबसे उचित उत्तर वाले विकल्प को चुनिए। उत्तर भारत के संत कवि कबीर और दक्षिण भारत के संत कवि तिरुवल्लुवर के समय में लगभग दो हजार वर्ष का अंतराल है किंतु इन दोनों महाकवियों के जीवन में अद्भभुत साम्य पाया जाता है। दोनों के माता-पिता ने जन्म देकर इन्हें त्याग दिया था, दोनों का लालन-पालन निस्संतान ने बड़े स्नेह और जतन से किया था। व्यवसाय से दोनों जुलाहे थे। दोनों ने सात्विक गृहस्थ जीवन की साधना की थी। तिरुवल्लुवर का प्रामाणिक जीवन-वृत्तांत प्राप्त नहीं होता। प्राय: उन्हें चेन्नई के निकट मइलापुर गाँव का जुलाहा माना जाता है किंतु कुछ लोगों के अनुसार वे राजा एल्लाल के शासन में एक बड़े पदाधिकारी थे और उन्हें वैसा ही सम्मान प्राप्त था जैसा चंद्रगुप्त के शासनकाल में चाणक्य को। उनके बारे में अनेक दंतकथाएँ प्रचलित हैं। जैसे कहा जाता है कि एक संन्यासी नारी जाति से घृणा करता था। उसका विश्वास था कि स्त्रियाँ बुराई की जड़ हैं और उनके साथ ईश्वर-भक्ति हो ही नहीं सकती। तिरुवल्लुवर ने बड़े आदर से उसे अपने घर बुलाया। दो दिन उनके परिवार में रहकर सन्यासी के विचार ही बदल गए। उसने कहा, ‘यदि तिरूवल्लुवर और उनकी पत्नी जैसी जोड़ी हो तो गृहस्थ जीवन ही श्रेष्ठ है।’’ कबीर के दोहों की भाँति तिरुवल्लुवर ने भी छोटे छंद में कविता रची जिसे ‘कुरल’ कहा जाता है। कुरलों का संग्रह उनका एकमात्र ग्रंथ है ‘तिरुवल्लुवर’। तिरुवल्लुरल को तमिल भाषा का वेद माना जाता है। इसका प्रत्येक कुरल एक सूक्ति है और सूक्तियाँ सभी धर्मों का सार है। संपूर्ण मानवजाति को शुभ के लिए प्रेरित करना ही इसका उद्देश्य प्रतीत होता है। जैसे धर्म के बारे में दो कुरलो का आशय है : ⦁ भद्र पुरूषों! पवित्र मानव होना ही धर्म है। स्वच्छ मन वाले बनो और देखो तुम उन्नति के शिखर पर कहाँ-से-कहाँ पहुँच जाते हो। ⦁ झूठ न बोलने के गुण को ग्रहण करो तो किसी अन्य धर्म की आवश्यकता ही न रहेगी। तिरुवल्लुवर के अनुसार श्रेष्ठ धर्म है :
इब्राहिम रईसी किस देश के राष्ट्रपति थे जिनकी हाल ही में हेलीकॉप्टर दुर्घटना मौत हो गयी?
Select the number from among the given options that can replace the question mark (?) in the following series. 361, 323, 285, 247, ?
‘‘रोहित अमेरिका में नौकरी करना चाहता है।’’ वाक्य में प्रयुक्त क्रिया का स्वरूप है
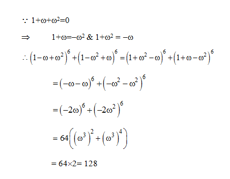
Explanations:
Download our app to know more Lorem ipsum dolor sit amet consectetur adipisicing elit. Excepturi, esse.
Unlocking possibilities: Login required for a world of personalized experiences.