निम्न में से किस विकिरण में अधिकतम ऊर्जा होती है।
In which of the following years did rebels revolted on a mass scale against the British rule in India?
Which one of the following river does not make a delta? / निम्नलिखित में से कौन सी नदी डेल्टा का निर्माण नहीं करती है?
छह घर A, B, C, D, E और F एक कॉलोनी में स्थित हैं D, E के 60m. दक्षिण में है। F, B के 40m. दक्षिण में है। A, E के 30m. उत्तर में है। F, A के 50m. पूर्व में है। C, B के 50m. पश्चिम में है। A के संदर्भ में C का स्थान ज्ञात करें।
चार पहिया के वाहनों को (उच्च सुरक्षा पंजीकरण प्लेट) HSRP नंबर लगवाने के लिए कितने रुपये तक का शुल्क देना पड़ता है।
पेट्रोल इंजन कार्य करता है–
The RMS value is defined as the square root of means of squares of ................ RMS मान को ............. के वर्ग माध्य के वर्गमूल के रूप में परिभाषित किया जाता है।
``सत्यर्थे पृथगर्थाया: स्वरव्यञ्जनसंहते: क्रमेण तेनैवावृत्तिर्यमकं विनिगद्यते।'' `यमक' की यह परिभाषा किस आचार्य ने दी है?
Torsion resisting capacity of a given reinforced concrete section..................
उस विकल्प का चयन करें जो पहले शब्द से उसी प्रकार संबंधित है, जैसा कि चौथें शब्द का तीसरे शब्द से है। मोनार्क : _____ :: एनाकोंडा : कोबरा
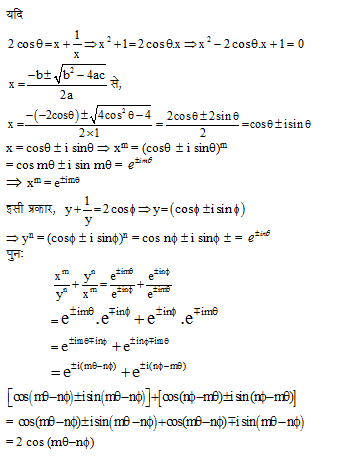
Explanations:
Download our app to know more Lorem ipsum dolor sit amet consectetur adipisicing elit. Excepturi, esse.
Unlocking possibilities: Login required for a world of personalized experiences.