गुरु गोविन्द सिंह स्पोट्स कालेज कहां अवस्थित है–
In which district is the Mohankheda Jain Tirth located ?/मोहनखेड़ा जैन तीर्थ निम्न में से किस जिले में स्थित है?
In Symons rain gauge, the rim of the collector is set in a horizontal plane at a height of _____ above the ground level. साइमन रेन गेज में, कलेक्टर का रिम एक क्षैतिज तल में जमीनी स्तर से _________ की ऊँचाई पर स्थापित किया जाता है।
रोहित ने अनुभव किया कि वर्ग एक समचतुर्भुज और एक आयत, दोनों ही है। वह वैंन हील के मानस चिंतन के कौन से चरण पर है?
ए. टी. पी. सम्बन्धित है
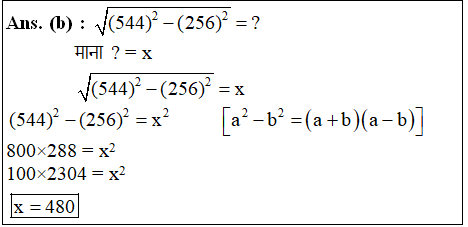
.
अन्तर्राष्ट्रीय व्यापार के पारस्परिक माँग के सिद्धान्त के प्रतिपादक थे –
भारतीय सेना 'स्वावलंबन शक्ति अभ्यास' का आयोजन किस राज्य में कर रही है?
Anil alone can complete a work in 28 days and Karan alone can complete the same work in half of the time taken by Anil. In how many days will both together complete 3/7 part of the total work? अनिल अकेले एक कार्य को 28 दिनों में पूरा कर सकता है तथा करन अकेले उसी कार्य को अनिल द्वारा लिए गए समय के आधे समय में पूरा कर सकता है। दोनों मिलकर कुल कार्य का 3/7 भाग कितने दिनों में पूरा करेंगे?
एक निश्चित कूट भाषा में, ‘GLEPK' को 'DIBMH' लिखा जाता है, और QRYHN' को 'NOVEK' लिखा जाता है। उसी कूट भाषा में 'POTER' को किस प्रकार लिखा जाएगा?
Explanations:
Download our app to know more Lorem ipsum dolor sit amet consectetur adipisicing elit. Excepturi, esse.
Unlocking possibilities: Login required for a world of personalized experiences.