एक पाइप एक टंकी को 12 घंटे में भर सकता है और दूसरा पाइप इसे 15 घंटे में भर सकता है। यदि दोनों पाइपों को एक साथ खोला जाता है, तो टंकी को आधा भरने के लिए कितना समय लगेगा?
प्रश्न में दिए गए अक्षरों को पुनर्व्यवस्थित कीजिए और वह विकल्प ज्ञात कीजिए जिसका अर्थ पुनर्व्यवस्थित शब्द के विपरीत है। R N S I P O
Fusing factor is defined as the ratio between the-/फ्यू़िजंग फैक्टर को ......... के बीच के अनुपात के रूप में परिभाषित किया जाता है–
यूनेस्को ने हाल ही में किस भारतीय राज्य को हेरिटेज पर्यटन के लिए टॉप डेस्टिनेशन घोषित किया है?
If 10 men can complete a piece of work in 12 days by working 7 hours a day, then in how many days can 14 men do the same work by working 6 hours a day?
Which of the following lines are used to show that the object is cut and then viewed?/इनमें से किन रेखाओं का उपयोग यह दिखाने के लिए किया जाता है कि ऑब्जेक्ट को काटकर देखा गया है–
Which of the following is a vector quantity?
Lack of fit between members of a truss causes एक ट्रस के सदस्यों के बीच फिट की कमी का कारण बनता है।
निम्न में रीतिकाल का कवि कौन है?
माउंट एवरेस्ट की चोटी पर पहुंचने वाली पहली महिला कौन थी?
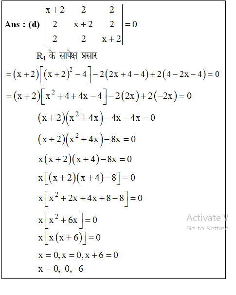
Explanations:
Download our app to know more Lorem ipsum dolor sit amet consectetur adipisicing elit. Excepturi, esse.
Unlocking possibilities: Login required for a world of personalized experiences.