.
निम्नलिखित में से कौन-सा काव्यसंग्रह नरेन्द्र शर्मा का नहीं है?
खेल के पुनरावृत्ति के सिद्धान्त के प्रवर्तक थे
'Public Corporation' type of administration seeks to achieve ‘लोक निगम’ प्रकार का प्रशासन क्या प्राप्त करने की चेष्टा करता है?
एक रेलगाड़ी हैदराबाद से शुक्रवार को समय 13 : 15 पर चली और शनिवार को बंगलुरु समय 07 : 30 पर पहुँची। यात्रा में लगा समय था ।
In measurement of masonry activity, no deduction is made for ______.
निम्नलिखित गद्यांश को पढ़कर पूछे गए प्रश्नों (प्र. स. 121 -128) के सही/सर्वाधिक उपयुक्त विकल्प का चयन कीजिए। एक दूसरा संकट ग्लेशियरों के तेजी से पिघलने और अचानक टूटने से खतरनाक बाढ़ और जलप्लावन का संकट है। पर्यावरण के इस संकट को लेकर देश के लोगों और सरकारों की चेतना का जो स्तर है, वह चिंता बढ़ाने वाला है। खेत खत्म हो रहे हैं, पेड़ काटे जा रहे है और जंगलों को लेकर सिर्फ़ आंकड़ों पर जोर है। उदारीकरण के बाद लोगों के रहन-सहन और जरूरतों में आया बदलाव अब मुसीबत बनने वाला है। हम में से हर की जिंदगी में गैर जरूरी सुविधाओं का भोग लगातार बढ़ा है। चालीस पार की उम्र वाले आसानी से अपने बचपन के दिनों को याद करके समझ सके है कि संसाधनों का अंधाधुंध इस्तेमाल उनकी जिंदगी में किस कदर बढ़ चुका है। इसका असर मौसम, खेतों और फसलों पर पड़ रहा है। मार्च में खिलने वाले फूल अब फरवरी में नजर आते हैं। फरवरी में भयानक गरमी पड़ती है और गेहूँ सूखने लगता है और जब तक फसल तैयार होती है अचानक बेमौसम की बारिश उसे तबाह कर देती है। आम के बागवान शुरूआती बौरों को देखकर खुश तो होते हैं पर अचानक मार्च का आंधी-तूफान उनकी सारी खुशियों को निगल जाता है। पर्यावरण वैश्विक समस्या है पर उसका हल हमारी जरूरतों को कम करने में छिपा है। पर्यावरण समस्या है ________।
`आर्द्र ' का विलोम शब्द है
A shopkeeper marks his goods at a price 20% higher than their cost price and allows 10% discount on every item. Find his gain percentage.
2011 की जनगणना के अनुसार, उत्तर प्रदेश का सर्वाधिक साक्षर जनपद कौन-सा था?
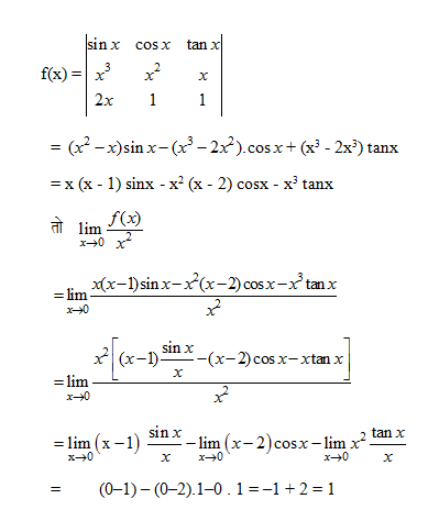
Explanations:
Download our app to know more Lorem ipsum dolor sit amet consectetur adipisicing elit. Excepturi, esse.
Unlocking possibilities: Login required for a world of personalized experiences.