.
भारत का 62वां राष्ट्रीय समुद्री दिवस कब मनाया गया?
सूर्यास्त के समय लोपा और कृतिका आमने-सामने बैठे हैं। यदि लोपा की छाया कृतिका के दायीं ओर पड़ती है, तो कृतिका किस दिशा की ओर अभिमुख है?
12वें क्षेत्रीय 3R और सर्कुलर इकोनॉमी फोरम का आयोजन कहां किया जायेगा?
Recently which country's astronaut Oleg Kononenko became the first person to spend 1000 days in space ? हाल ही में किस देश के अंतरिक्ष यात्री ‘ओलेग कोनोनेंको’ अंतरिक्ष में 1000 दिन बिताने वाले पहले व्यक्ति बने ?
मानवाधिकार संरक्षण (संशोधन) अधिनियम, 2019 द्वारा राष्ट्रीय मानवाधिकार आयोग में सदस्यों की संख्या कितना बढ़ाई गई है?
Which king established the famous Vikramshila University has seat of Buddhist learning? बौद्ध शिक्षा के लिए किस राजा ने प्रसिद्ध विक्रमशिला विश्वविद्यालय की स्थापना की?
उत्तर प्रदेश नगर पंचायत अधिनियम कब पारित हुआ?
विवेक ने ` 36,000 के साथ एक व्यवसाय शुरू किया और बाद में अर्जुन ` 1,08,000 के साथ उससे जुड़ गया। यदि वर्ष के अंत में लाभ को समान रूप से विभाजित किया जाता है, तो अर्जुन कितने महीनों के बाद उसके साथ जुड़ा था?
पाइप C एक टैंक को 12 घंटे में भर सकता है तथा पाइप D उस टैंक को 40 घंटे में भर सकता हैं। पाइप C तथा D दोनों मिलकर उस टैंक को कितने घंटे में भर सकते हैं ?
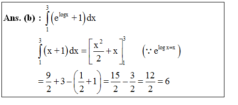
Explanations:
Download our app to know more Lorem ipsum dolor sit amet consectetur adipisicing elit. Excepturi, esse.
Unlocking possibilities: Login required for a world of personalized experiences.