निम्नलिखित में से किस नदी का उद्गम स्थल भारत में नहीं है।
In January 2022, which government delegated power to the District Collector to grant permission for the conversion of agricultural land for non- agricultural purposes up to 12 and a half standard acre against a fee of 5per cent of the market value of the land notified under the Stamps Act'? जनवरी 2022 में, किस सरकार ने ‘मुद्रांक अधिनियम के तहत अधिसूचित भूमि के बाजार मूल्य के 5 प्रतिशत शुल्क के बदले साढ़े 12 मानक एकड़’ तक की कृषि भूमि को गैर-कृषि उद्देश्यों के लिए रूपांतरण की अनुमति देने के लिए जिला कलेक्टर को शक्ति प्रत्यायोजित की?
Jamrani dam is proposed on which river of Uttarakhand?/जमरानी बाँध उत्तराखण्ड की किस नदी पर प्रस्तावित है।
Which one of the following with regard to the Poona Pact, 1932 is not correct? निम्नलिखित में से 1932 के पूना समझौते से सम्बन्धित कौन-सा एक सही नहीं है?
The folk song called 'Dhola Maru' in some part of Madhya Pradesh find itorigin from which of the following state of India? मध्य प्रदेश के कुछ हिस्सों में ‘ढोला मारू’ नामक लोक गीत की उत्पत्ति निम्नलिखित में से किस राज्य में हुई?
The nutritive cells found in the seminiferous tubules are शुक्रजनक नलिकाओं में मिलती पोषक कोशिकाएँ हैं:
Change the following into past perfect continuous tense. The boys are playing cricket.
Consider the following events in the history of British India/ब्रिटिश भारत के इतिहास में निम्नलिखित घटनाओं पर विचार कीजिए : 1. Santhal rebellion/ सन्थाल विप्लव 2. Indigo revolt/नील विद्रोह 3. Sanyasi and Fakir rebellion/सन्यासी और फकीर विप्लव 4. Birsa Munda rebellion/ बिरसा मुण्डा विप्लव Which one of the following is a correct chronological sequence of the above events starting with the earliest? निम्नलिखित में से कौन सा एक, उपर्युक्त घटनाओं का, सबसे पहली घटना से प्रारम्भ करते हुए, सही कालानुक्रम है?
'वन नेशन वन इलेक्शन' समिति के अध्यक्ष कौन है?
Unit of average cost of construction of four lane highways taken by National Highways Authority of India (NHAI) for preparing estimate, is: भारतीय राष्ट्रीय राजमार्ग प्राधिकरण (एनएचएआई) द्वारा प्राक्कलन तैयार करने के लिए, लिए गए चार लेन राजमार्गों के निर्माण की औसत लागत की इकाई है:
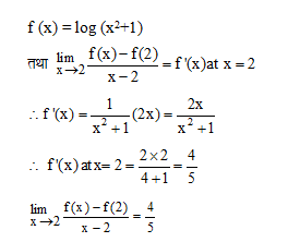
Explanations:
Download our app to know more Lorem ipsum dolor sit amet consectetur adipisicing elit. Excepturi, esse.
Unlocking possibilities: Login required for a world of personalized experiences.