Consider the given statement and decide which of the given assumptions is/are implicit in the statement. Statement by a Production Manager: "Quality of raw material supplied is below average, so production will also be substandard." Assumptions : (1) Only good quality raw material can result in quality products. (2) Costly raw material can always produce good quality products.
The only thing for which Marx praised bureaucracy मार्क्स ने नौकरशाही की प्रशंसा निम्न में से किस विशेषता के लिए की?
In a factory with 400 employees, the ratio of the number of male employees to that of female employees is 5 : 3. There are 87.5%, regular employees in the factory. If 92% of male employees are regular employees, then what is the percentage of regular female employees?
निम्नलिखित में से कौन-सी सूचना प्रौद्योगिकीय शब्दावली नहीं है?
Choose the correct option for the following Gun : Bullet :: Chimney : _____ . .
.
निम्नलिखित में से कौन-सा कथन गणितीय अधिगम को प्रोत्साहित करने के लिए सबसे कम उपयुक्त है?
Which of the following statements are correct, with reference to the Road Formation width? सड़क निर्माण की चौड़ाई के संदर्भ में निम्नलिखित में से कौन-सा कथन सही है? i. It is the bottom width of the embankment. . यह तटबंध की निचली चौड़ाई है। ii. It is the bottom width of the cutting. यह कटिंग की निचली चौड़ाई है। iii. It is inclusive of the width of the shoulders../इसमें शोल्डर की चौड़ाई शामिल है। iv. It is inclusive of the width of side drains. इसमें पार्श्व अपवाहिकाओं की चौड़ाई शामिल है।
‘कमजोर वर्ग के बालक’ से तात्पर्य है
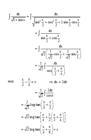
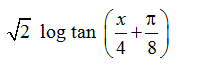
Explanations:
Download our app to know more Lorem ipsum dolor sit amet consectetur adipisicing elit. Excepturi, esse.
Unlocking possibilities: Login required for a world of personalized experiences.