बीसीसीआई ने भारतीय टीम के हेड कोच के रूप में किसका कार्यकाल फिर से बढ़ा दिया है?
जन्म एवं मृत्यु की पहली प्रति रजिस्ट्रार द्वारा जारी की जाएगी–
How much deduction should be made in the hollows of blocks during a hollow concrete block wall construction?
Which option represent the correct order of the given words as they would appear in an English dictionary? 1. Nothing 2. Notebook 3. Notable 4. Notary 5. Nominal
For which of the following calculations can superposition principle be applied? निम्नलिखित में से किसकी गणना के लिए सुपरपोजिशन सिद्धांत लागू हो सकता है?
Identify the segment in the sentence which contains the grammatical error from the given options. The government's proposal has been set alarm bells ringing for people with low incomes.
The first woman Governer of a state in independent India was: स्वतन्त्र भारत के एक राज्य की प्रथम महिला राज्यपाल थी:
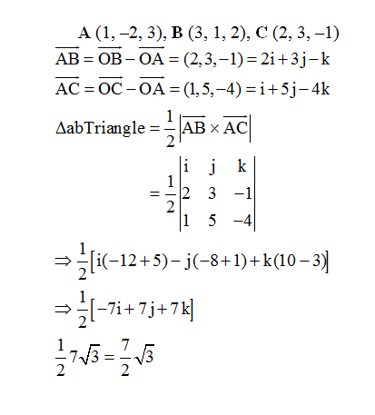
.
किस फ्रांसीसी यात्री ने काशी को ‘भारत का एथेन्स’ कहा था?
Duty on capacity is also known as: The number of hectares irrigable per cumec of the canal capacity at its head is known as:
Explanations:
Download our app to know more Lorem ipsum dolor sit amet consectetur adipisicing elit. Excepturi, esse.
Unlocking possibilities: Login required for a world of personalized experiences.