A shopkeeper bought a table for `4600 and a chair for `1800. He sells the table with 10% gain and the chair with 6% gain. Find the overall gain percentage.
In a parallel-plate capacitor of capacitance C, a metal sheet is inserted between the plates parallel to them. The thickness of sheet is half of the separation between the plates. The capacitance of the capacitor will be : एक समानांतर प्लेट वाले संधारित्र जिसकी धारिता C है संधारित्र के प्लेटों के समानांतर एक धातु की शीट प्रविष्टि की जाती है। शीट की मोटाई प्लेटों के मध्य की दूरी का आधा है। संधारित्र की धारिता होगी?
6 से विभाज्य होने वाली तीन–अंकीय कुल कितनी संख्याएँ हैं?
प्रकाशन वर्ष के अनुसार उषा प्रियंवदा के उपन्यासों का सही अनुक्रम है :
What will come in place of the question mark (?) in the following equation if ' ÷' and '×' are interchanged? 39 + 27 ÷ 108 × 9 – 16 = ?
The most conducive pH range for the life of freshwater plants and animals is अलवणजलीय पौधों एवं जानवरों के जीवन के लिए सबसे उपयुक्त pH परास-सीमा है।
Arrange the given words in a logical and meaningful sequence. 1. Flat 2. Street 3. Room 4. Apartment 5. Town
Select the Venn diagram that best represents the relationship between the following classes. Chandigarh, India, Seoul.
Which of the following is correct in context of gifted children? प्रतिभाशाली बच्चों के संदर्भ में निम्नलिखित में से कौन-सा सही है?
शिक्षण की आधुनिक संकल्पना के अनुसार, एक अध्यापक को मुख्य भूमिका निभानी चाहिए
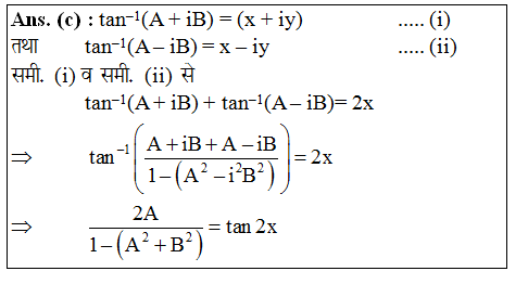
Explanations:
Download our app to know more Lorem ipsum dolor sit amet consectetur adipisicing elit. Excepturi, esse.
Unlocking possibilities: Login required for a world of personalized experiences.