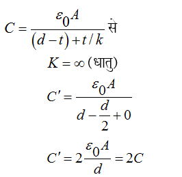
Q: In a parallel-plate capacitor of capacitance C, a metal sheet is inserted between the plates parallel to them. The thickness of sheet is half of the separation between the plates. The capacitance of the capacitor will be : एक समानांतर प्लेट वाले संधारित्र जिसकी धारिता C है संधारित्र के प्लेटों के समानांतर एक धातु की शीट प्रविष्टि की जाती है। शीट की मोटाई प्लेटों के मध्य की दूरी का आधा है। संधारित्र की धारिता होगी?
A.
4C
B.
C.
2C
D.
Correct Answer:
Option C -
Explanations:
Download Our App
Download our app to know more Lorem ipsum dolor sit amet consectetur adipisicing elit.
Excepturi, esse.
YOU ARE NOT LOGIN
Unlocking possibilities: Login required for a world of personalized
experiences.