Arrange the following words in the order in which they appear in an English dictionary. 1. Gemlike 2. Geminate 3. Gemmier 4. Geminal 5. Gemini
In the sentence identify the segment which contains the grammatical error. Darkness spilled like ink and began to spread at everything.
Which of the following has magnitude and no direction?
निर्देश (प्र.सं. H-15 से H-20 तक) : इस खंड में नीचे दिए गए गद्यांश से सम्बन्धित प्रश्न दिए गए हैं। सही विकल्प चुनकर उत्तर पत्रक में अंकित कीजिये। विकास क्रम में पशुता हमारा जन्मसिद्ध अधिकार है और मनुष्यता हमारे युग-युगांतर के अनवतर अध्यवसाय से अर्जित अमूल्य निधि। इसी से हम अपने पूर्व स्वप्न के लिए, सामंजस्यपूर्ण आदर्श के लिए और भावनाओं के लिए प्राण की बाजी लगाते रहे हैं। जब हम से ऐसा करने की शक्ति शेष नहीं रह जाती तब हम एक मिथ्या दम्भ के साथ पशुता की ओर लौट चलते हैं क्योंकि वहाँ पहुँचने के लिए न किसी पराक्रम की आवश्यकता है और न साधन की। हम अपने शरीर को निश्चेष्ट छोड़कर हिमालय के शिखर से पाताल की गहराई तक सहज ही लुढ़कते चले आ सकते हैं। परंतु उसे ऊंचाई के सहस्र अंशो तक पहुँचने में हमारे पाँव काँपने लगेंगे, साँस फूलने लगेगी और आँखों के सामने अंधेरा छा जाएगा। प्रारम्भ में मुद्रित अंश आशय है कि
The amount of light emitted in a given direction by a source of one candle power is called ............. एक कैण्डेल पावर के स्रोत के द्वारा एक निश्चित दिशा में उत्सर्जित प्रकाश की मात्रा को ........... कहा जाता है।
As per IS 800:2007, what is the minimum size of the bolt hole in the connected plates for a bolted (Nominal diameter of the bolt : 16-24 mm) connection?
हल्की और अज्वलनशील होने के कारण ______ गैस का उपयोग गुब्बारों को उड़ाने के लिए किया जाता है।
...........यह बेन्डेज में उपयोग होता है।
The friction which is generated between the two static surfaces that come in contact with each other is known as
In which of the following type of pointing, a groove is formed at the centre of the height by a pointer?
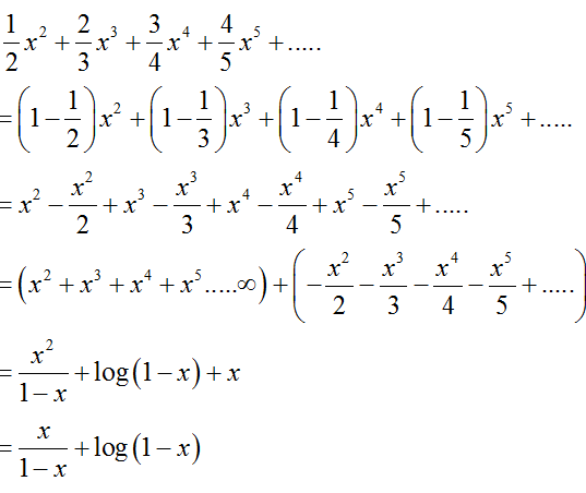
Explanations:
Download our app to know more Lorem ipsum dolor sit amet consectetur adipisicing elit. Excepturi, esse.
Unlocking possibilities: Login required for a world of personalized experiences.