एक मिश्रण में मिट्टी और बजरी का अनुपात 11:8 है, जबकि बजरी और सीमेंट का अनुपात 6:7 है। मिश्रण में मिट्टी और सीमेंट का अनुपात कितना है?
Which of the following statements is/are true? निम्नलिखित में से कौन सा /से कथन सत्य है? (i) When you delete an e-mail from the Trash folder, the contents will be deleted permanently./जब आप ट्रैश फोल्डर से ई-मेल हटाते हैं, तो सामग्री स्थायी रूप से हटा दी जाएगी। (ii) E-mails from senders in your whitelist always go to your Inbox./आपकी वाइटलिस्ट में प्रेषकों के ई-मेल हमेशा आपके इनबॉक्स में जाते है।
What should come in place of the question mark (?) in the given series? निम्नांकित शृृंखला में प्रश्नवाचक चिह्न (?) के स्थान पर क्या आएगा? 4 24 120 480 ? 2880
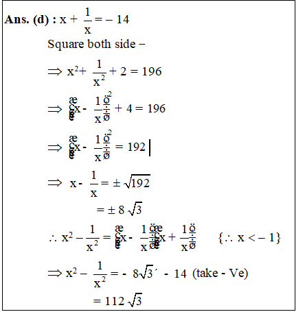
.
The Lesser Himalaya is separated from the ‘Dun’ by which of the following ? लघु हिमालय को ‘दून’ से निम्न में से किसके द्वारा पृथक किया गया है?
किस भारतीय शहर को हाल ही में रामसर वेटलैंड सिटी मान्यता प्राप्त हुई है?
‘हिन्दी नवजीवन’ साप्ताहिक का प्रकाशन कहां से आरंभ हुआ?
भारतीय सेना ने म्यांमार में भूकंप के बाद मानवीय सहायता प्रदान करने के लिए कौन सा ऑपरेशन शुरू किया है?
Explanations:
Download our app to know more Lorem ipsum dolor sit amet consectetur adipisicing elit. Excepturi, esse.
Unlocking possibilities: Login required for a world of personalized experiences.