A certain number of camel's and an equal number of men are, going somewhere. Half of the owners are on their camel's back while the remaining ones are walking along their camels. If the number of legs walking on the ground is 70. how many camels are there?
दिए गए वाक्य में उपयुक्त शब्द का चयन करके रिक्त स्थान की पूर्ति कीजिए। सभ्यता की दौड़ में संवेदनशील जैसे मनोवेगों का साथ ....... छूट जाता है।
भारत में राष्ट्रपति का चुनाव किया जाता है?
.
A cashier can commit a fraud by : एक कैशियर धोखाधड़ी कर सकता है:
.......... junction is formed when two walls meet each other at angles other than right angles.
Consider the following factors A. Large number of loading cycles B. Large variations in stress C. Large stress concentrations Those associated with fatigue failure would include
के कथयन्ति यद् योगो दु:साध्यानि शारीरिकमानसिकरोगाणि निराकरोति?
Which is the most popular hyme of Rig-Veda- ऋग्वेद का सर्वाधिक लोकप्रिय छन्द कौन-सा है?
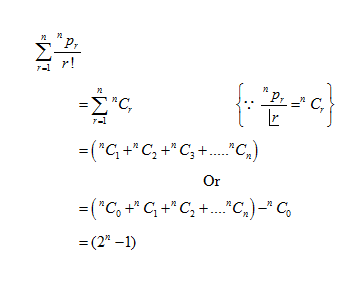
Explanations:
Download our app to know more Lorem ipsum dolor sit amet consectetur adipisicing elit. Excepturi, esse.
Unlocking possibilities: Login required for a world of personalized experiences.