आंकड़ा संगणक की गति को सामान्यत: किस इकाई में मापा जाता है?
भारतीय स्थल पर गड्ढ़े खोदने के साक्ष्य निम्नलिखित में से किस प्राचीन स्थाल से पाए गए हैं?
What is the compressive strength of M-25 concrete? M-25 कंक्रीट की संपीडन सामर्थ्य क्या है?
Two numbers are in the ratio 2 : 4. If the first number is increased by 4 and the second number is decreased by 14, then the ratio becomes 8 : 5. What is the sum of the original two numbers? दो संख्याएँ 2 : 4 के अनुपात में हैं। यदि पहली संख्या में 4 की वृद्धि की जाए तथा दूसरी संख्या में 14 की कमी की जाए, तो अनुपात 8 : 5 हो जाता है। दोनों मूल संख्याओं का योगफल ज्ञात कीजिए।
Which of the reign was the bone of contention between Vijayanagar Empire and Bahamani Kindom? विजयनगर साम्राज्य और बहमनी राज्य के बीच कौन-सा क्षेत्र विवाद का विषय था?
Which enzyme is present in the pancreatic juice responsible for protein digestion?
मौखिक संवाद जो बच्चे अपने आप से करते हैं, उन्हें लेव वायगोत्सकी क्या कहते हैं–
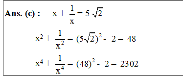
.
Which of the following terms best describes the biological study of animal behaviour?
विश्व आर्थिक मंच (World Economic Forum) के संस्थापक कौन थे, जिसकी 54वीं वार्षिक बैठक जनवरी 2024 में दावोस, स्विट्जरलैंड में हुई थी?
Explanations:
Download our app to know more Lorem ipsum dolor sit amet consectetur adipisicing elit. Excepturi, esse.
Unlocking possibilities: Login required for a world of personalized experiences.