A boat takes 40% less time to travel a certain distance in still water than to cover two times of the same distance downstream. If the speed of the boat in still water is 25 km/h , then what is the speed (in km/h) of the stream?
Universal Suffrage means that the right to vote is not restricted by सार्वभौम मताधिकार का अर्थ यह है कि मत देने का अधिकार नियंत्रित नहीं होता है
The design of "a tension member in which a reversal of direct stress occurs due to loads other than wind or seismic forces" was done with a maximum effective slenderness ratio of 350. Following IS : 800-2007, check whether the design is correct; if incorrect, what is the maximum effective slenderness ratio that has to be adopted in design.
Which of the following delays are present in packet switching?/पैकेट स्विचन में, इनमें से कौन सा डिले मौजूद होता है–
Soon after the birth babies show the signs of ______, which are mostly physiological responses to sensory stimulation. जन्म के तुरंत बाद बच्चे ........... के लक्षण दिखाते हैं, जो ज्यादातर संवेदी उत्तेजना के लिए शारीरिक प्रतिक्रियाएं है। I. Interest/रूचि II. Distress/पीड़ा
Trusses and frames are different as :
सिंगल प्लेट क्लच में.........होते है।
Which of the following sultanats was ruled by the Nizam Shahi Dynasty?
Stele includes - रम्भ में आते हैं-
एक गाँव की कुल जनसंख्या 4,000 है। पुरूषों और महिलाओं की संख्या में क्रमश: 10% और 20% की वृद्धि होने पर गाँव की जनसंख्या 4,500 हो जाती है। नए सदस्यों के आने से पहले गाँव में पुरूषों की संख्या कितनी थी?
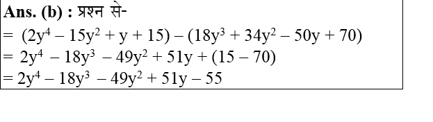
Explanations:
Download our app to know more Lorem ipsum dolor sit amet consectetur adipisicing elit. Excepturi, esse.
Unlocking possibilities: Login required for a world of personalized experiences.