If A, B, C, D and E denotes +, −, x , ÷ and = respectively, then which of the following equations is correct? यदि A,B, C, D और E क्रमश: +, −, x , ÷ और = को दर्शाते हैं, तो निम्नलिखित में से कौन-सा समीकरण सही (संतुलित) है?
Identify the minimum compressive strength in MPa for third class bricks? तृतीय श्रेणी की ईटों के लिए MPa में न्यूनतम सम्पीडन सामर्थ्य की पहचान करें-
गेहूँ के आटे में सोया आटा मिलाने से ब्रेड किस घटक से समृद्ध होगा।
For thin slabs and walls, the maximum size of coarse aggregates should be limited to ____ the thickness of the concrete section.
अयोगवाह: कथ्यते-
हाल ही में किस फॉसिल पार्क को UNESCO की Tentative World Heritage Sites लिस्ट में शामिल किया गया है?
Which of the following can be measured temperature without touching to object?
Six bells commence tolling together at 7 : 59 am. They toll at intervals of 3, 6, 9, 12 and 15 seconds respectively. How many times will they toll together till 8 : 16 am ? (excluding the toll at 7 : 59 am)
नीरज चोपड़ा ने कितने मीटर के थ्रो के साथ पेरिस ओलंपिक 2024 के लिए क्वालीफाई किया है?
उत्तर प्रदेश के किस शहर को कालीन नगरी कहा जाता है
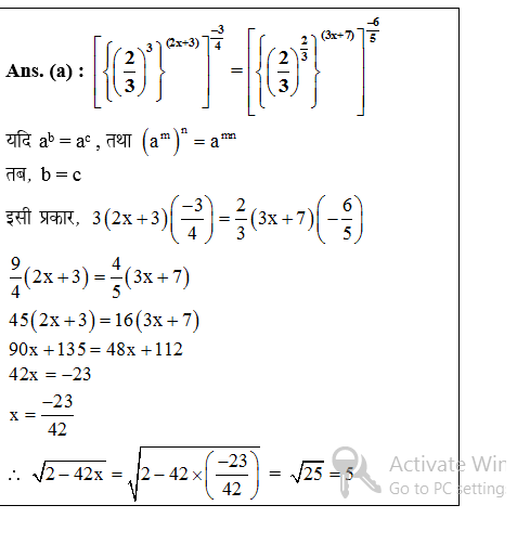
Explanations:
Download our app to know more Lorem ipsum dolor sit amet consectetur adipisicing elit. Excepturi, esse.
Unlocking possibilities: Login required for a world of personalized experiences.