The curriculum designed for Santiniketan was a blend of :
नीचे एक पैराग्राफ दिया गया है। S1और S6 इस पैराग्राफ में पहले और अंतिम वाक्य है। पैराग्राफ के भाग 1,2,3 और 4 क्रम में नही हैं। एक सार्थक और सुसंगत पैराग्राफ बनाने के लिए इन्हें सही क्रम में रखें। S1: श्रुति अपना वजन कम करने का प्रयास कर रही है। 1. नियमित व्यायाम से हमारा शरीर फिट और स्वस्थ रहता है। 2. प्रशिक्षक ने उसे सुबह नियमित व्यायाम करने का सुझाव दिया है। 3. उसने अब तक व्यायाम करना शुरू नहीं किया है। 4. उसका कहना है कि कार्यालय में देर रात तक कार्य करने के कारण उसके लिए सुबह जल्दी उठना मुश्किल है। S6. मुझे लगता है कि यह उसके आलस्य के लिए केवल एक झूठा बहाना है।
Which of the following statements is not correct regarding the issuance of Ordinance by the President? राष्ट्रपति द्वारा अध्यादेश लाए जाने की शक्ति के संदर्भ में निम्नलिखित में कौन-सा कथन सही नहीं है?
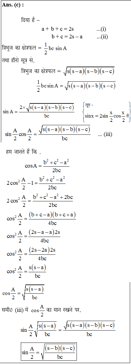
.
Jennifer starts from Point D and drives 3 km towards the north. She then takes a left turn and drives 10 km. She then takes another left turn and drives 6 km. She takes one more left turn and drives 5 km. She then takes a right turn and drives 3 km. She takes a final left turn and drives 5 km to reach point E. How far (shortest distance) and towards which direction should she drive in order to reach Point D again? (All turns are 90 degree turns only, unless specified)
हल करें : 90 + [65 + {40 ÷ 8 - (55 - 115 ÷ 5) ÷ 32}]
उत्तर प्रदेश का कौन-सा नगर ‘सुहागनगरी’ कहलाता है?
भारत के सर्वोच्च न्यायालय ने सूचना प्रौद्योगिकी अधिनियम, 2000 की धारा 66A को किस मामले में असंवैधानिक ठहराकर निरस्त कर दिया?
Mahabalipuram was founded by……….
The masculine gender of “Goose” is
Explanations:
Download our app to know more Lorem ipsum dolor sit amet consectetur adipisicing elit. Excepturi, esse.
Unlocking possibilities: Login required for a world of personalized experiences.