‘हस्’ धातु के लङ् लकार, मध्यम पुरुष, द्विवचन में रूप होगा
दिए गए वाक्य में उपयुक्त विराम चिह्न का चयन कीजिए । आज एमए परीक्षा के नतीजे आ गए हैं ।
किस बॉलीवुड अभिनेत्री को यूनिसेफ इंडिया का नेशनल ब्रांड एंबेसडर नियुक्त किया गया है?
हिन्दी भाषा की पाठ्य-पुस्तक में लोकगीतों को शामिल करने का कौन-सा उद्देश्य सबसे कम महत्वपूर्ण है?
गार्डनर ने सात अभियोग्यताओं का अधिमान निर्धारित किया, इसमें से कौन-सा नहीं है?
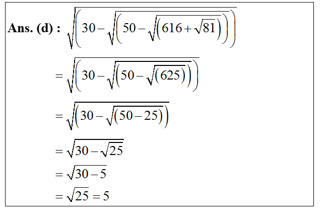
.
What is the standard deviation assumed for good control of M30 Grade of concrete? कंक्रीट के ग्रेड के अच्छे नियंत्रण के लिए मानक विचलन क्या माना जाता है?
The 3 R principle in waste management involves- अपशिष्ट प्रबंधन में 3 R सिद्धांत में क्या शामिल है–
वारियम के सदस्यों को चुनने के लिए प्रत्येक गाँव को कितने वार्डों में बाँटा जाता था?
भारत द्वारा हाल ही में प्रक्षेपित किए गए अंतरिक्ष-यान चंद्रयान-2 के एक भाग लैंडर का नाम है?
Explanations:
Download our app to know more Lorem ipsum dolor sit amet consectetur adipisicing elit. Excepturi, esse.
Unlocking possibilities: Login required for a world of personalized experiences.