The full form of D.W.F. is
Cloud management software needs to support:/क्लाउड प्रबंधन सॉफ्टवेयर को समर्थन की आवश्यकता है–
हाल ही में डीआरडीओ ने किस बैलिस्टिक मिसाइल का सफल परीक्षण किया?
.
मुगल शैली में व्यक्ति चित्रण को विशेष स्थान किसके समय में मिला-
Which of the following statements is incorrect?
A started a business with a capital of ` 50,000. After 3 months, B jointed him with a certain amount of capital. At the end of a year of A's starting the business, the profit was shared in the ratio 3 : 2. How much (in `) did B invest ?
16 सितंबर को कौन सा महत्वपूर्ण दिवस मनाया जाता है?
Which of the following is NOT an essential qualification for being elected as the President? राष्ट्रपति के रूप में निर्वाचित होने के लिए निम्नलिखित में से कौन-सी योग्यता आवश्यक नहीं है?
The art of determining and representing the relative heights or elevations of different points on the surface of the earth : पृथ्वी की सतह पर विभिन्न बिंदुओं की उच्चता (elevation) अथवा आपेक्षिक ऊँचाइयों को दर्शाने और ज्ञात करने की कला होती है–
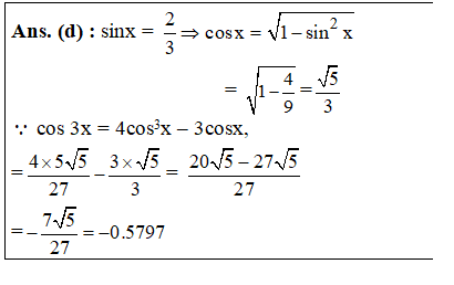
Explanations:
Download our app to know more Lorem ipsum dolor sit amet consectetur adipisicing elit. Excepturi, esse.
Unlocking possibilities: Login required for a world of personalized experiences.